Seneste opdatering :
27/11/2025
Antibiotisk   Tobramycin sulfate   
Øjendråber
Aerosol Injektion Oral opløsning
Stabilitet af farmaceutiske tilberedninger Stabilitet i blandinger Faktorer der påvirker stabiliteten Kompatibilitet Bibliografi pdf
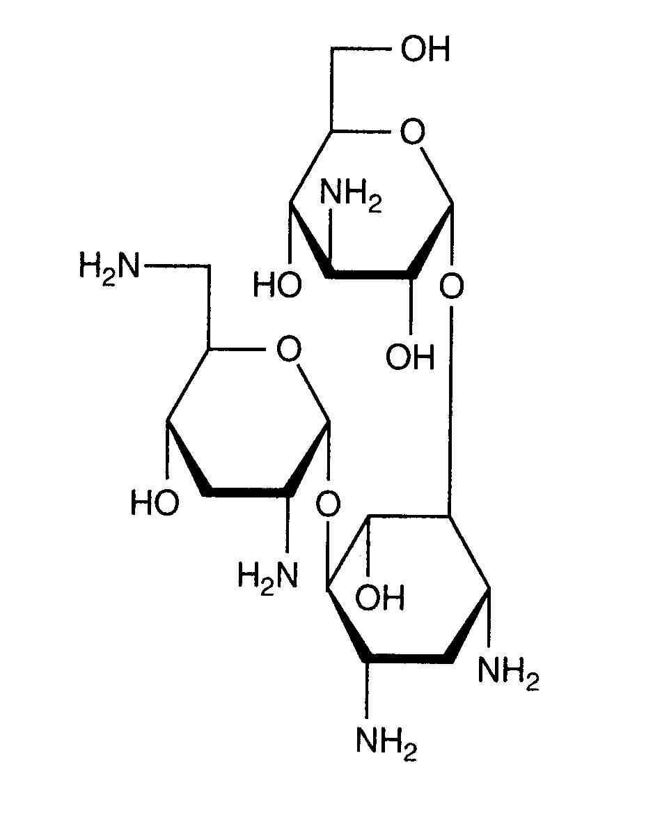
   Kemisk struktur  

Øjendråber
Stabilitet i blandinger   Øjendråber   Stabilitet i blandinger : Tobramycin sulfate      
Ingen data

  Mentions Légales