Последнее обновление :
27/11/2025
Антибиотик   Tobramycin sulfate   
Глазные капли
Аэрозоль Инъекция Раствор для перорального приёма
Стабильность фармацевтических препаратов Стабильность смесей Факторы, которые влияют на стабильность Совместимость Библиография pdf
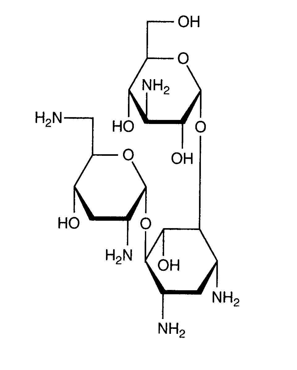
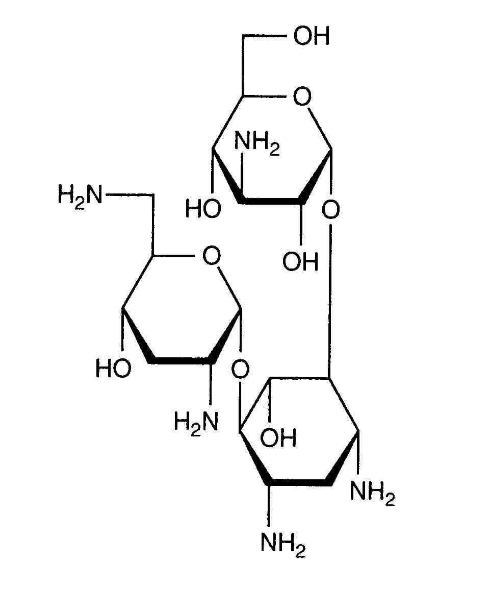
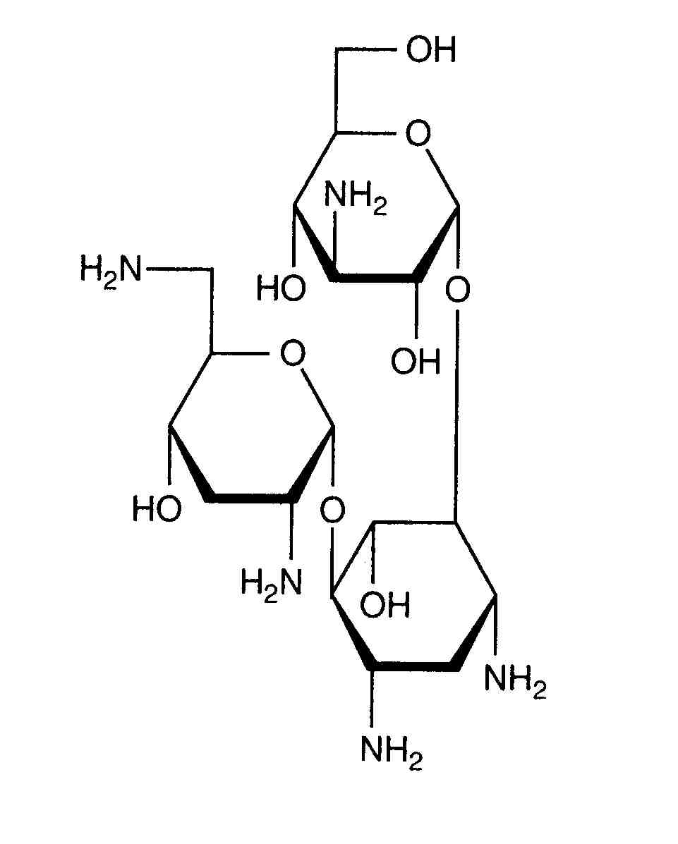
   Химическая структура  

Глазные капли
Стабильность смесей   Глазные капли   Стабильность смесей : Tobramycin sulfate      
данных нет

  Mentions Légales