最新更新 :
17/12/2025
抗生素   Tobramycin sulfate   
眼药水
口服剂 气雾剂 注射液
制剂的稳定性 混合物稳定性 影响稳定性的因素 兼容性 引用文献 PDF
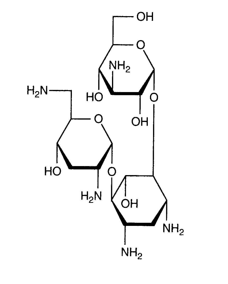
   化学式  

眼药水
混合物稳定性   眼药水   混合物稳定性 : Tobramycin sulfate      
无数据

  Mentions Légales