Dernière mise à jour :
17/12/2025
Antibiotique   Tobramycin sulfate   
Collyre
Aérosol injectable Solution buvable
Stabilité des préparations Stabilité en mélange Facteur influençant la stabilité Compatibilités Bibliographie pdf
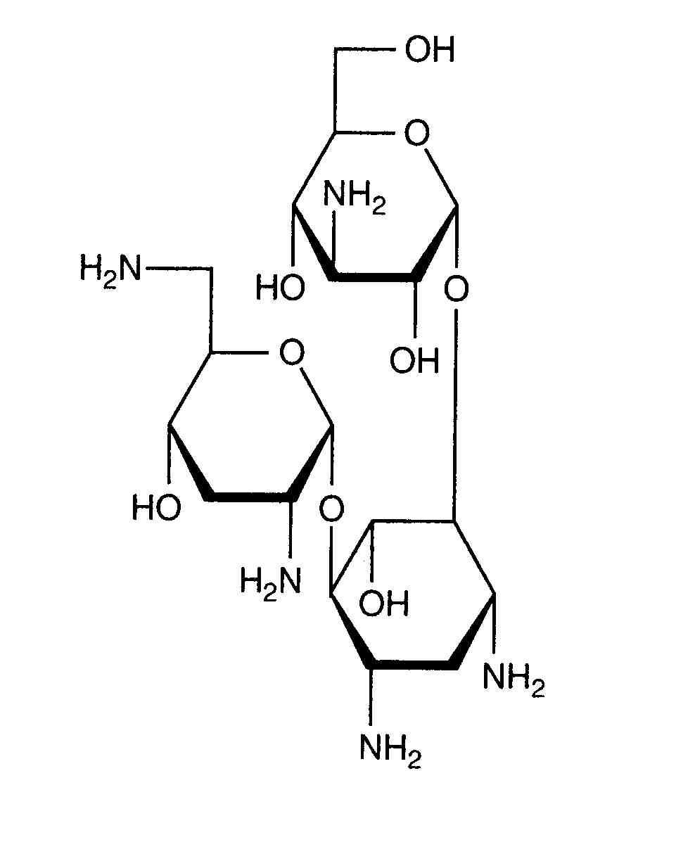
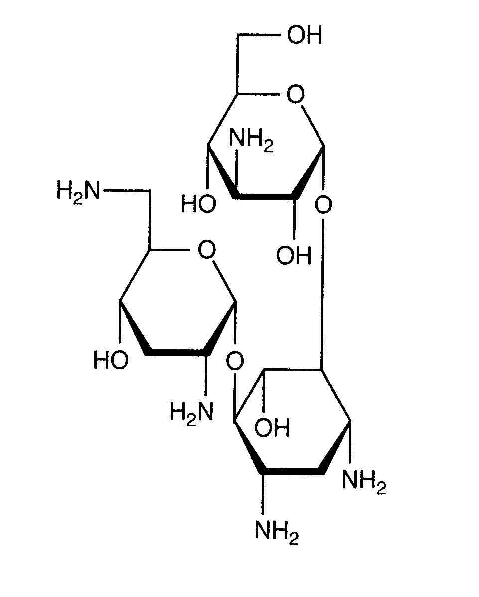
   Structure chimique  

Collyre
Stabilité des préparations   Collyre   Stabilité des préparations : Tobramycin sulfate      
Contenant Origine Excipient Température Conservation Durée de stabilité Bibliographie
Flacon plastique Flacon injectable 5 ml
Nebcin® 40 mg/ml
Tobrex® 3 mg/ml eye-drops 2 ml
4-8°C A l’abri de la lumière
90 Jour
2487


  Mentions Légales