Cập nhật lần cuối :
27/11/2025
Kháng sinh   Tobramycin sulfate   
Thuốc nhỏ mắt
Dạng tiêm Dung dịch uống Khí dung
Tính ổn định của các chế phẩm Độ ổn định khi trộn lẫn Những yếu tố ảnh hưởng đến độ ổn định Khả năng tương thích Tài liệu tham khảo Pdf
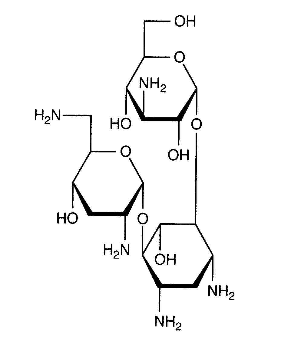
   Cấu trúc hóa học  

Thuốc nhỏ mắt

Những yếu tố ảnh hưởng đến độ ổn định   Thuốc nhỏ mắt   Những yếu tố ảnh hưởng đến độ ổn định : Tobramycin sulfate         
Không có dữ liệu

  Mentions Légales