最新更新 :
27/11/2025
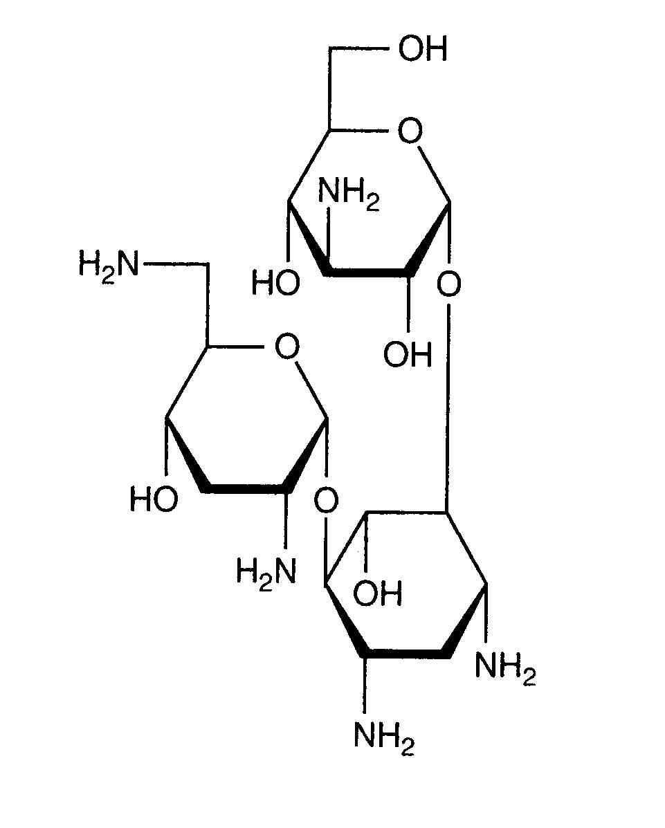
抗生素   Tobramycin sulfate   
眼药水
口服剂 气雾剂 注射液
制剂的稳定性 混合物稳定性 影响稳定性的因素 兼容性 引用文献 PDF
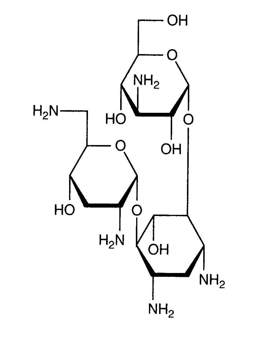
   化学式  

眼药水

影响稳定性的因素   眼药水   影响稳定性的因素 : Tobramycin sulfate         
无数据

  Mentions Légales