Τελευταία ενημέρωση :
18/03/2026
Αντιβιοτικό   Tobramycin sulfate   
Οφθαλμικές σταγόνες
Αεροζόλ Ενέσιμο Πόσιμο διάλυμα
Σταθερότητα και συμβατότητα των φαρμάκων Σταθερότητα σε μίγματα Παράγοντας που επηρεάζει τη σταθερότητα Συμβατότητες Βιβλιογραφία pdf
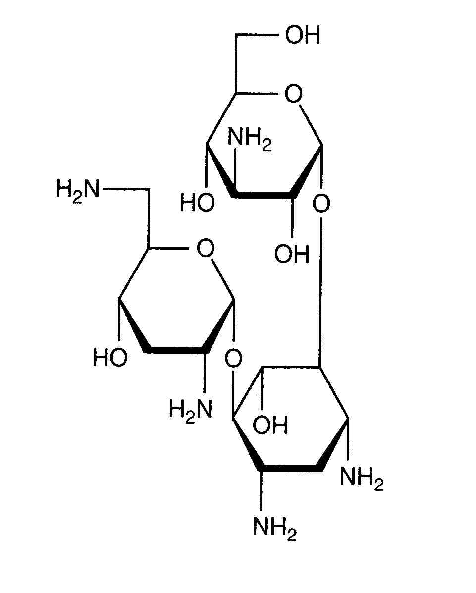
   χημική δομή  

Οφθαλμικές σταγόνες

Παράγοντας που επηρεάζει τη σταθερότητα   Οφθαλμικές σταγόνες   Παράγοντας που επηρεάζει τη σταθερότητα : Tobramycin sulfate         
Δεν υπάρχουν πληροφορίες

  Mentions Légales