Son güncelleme :
17/12/2025
Antibiyotik   Tobramycin sulfate   
Göz damlası
Aerosol Enjeksiyon Oral solüsyon / oral çözelti
Farmasötik preparatlar Kararlılığı Karışımlardaki stabilitesi Stabiliteyi etkileyen faktörler Uyumluluk Kaynaklar pdf
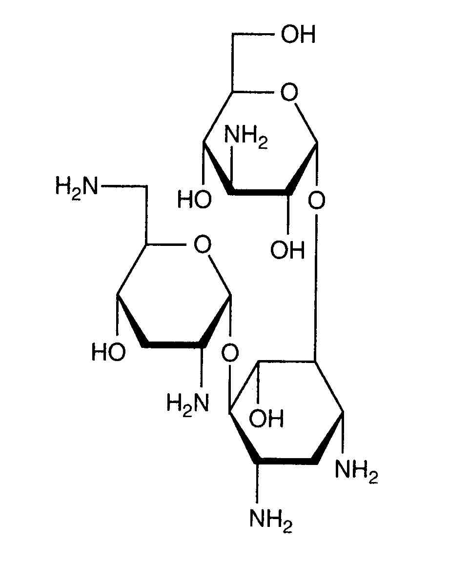
   Kimyasal yapı   

Göz damlası

Stabiliteyi etkileyen faktörler    Göz damlası   Stabiliteyi etkileyen faktörler : Tobramycin sulfate         
veri yok

  Mentions Légales