Utolsó frissítés :
18/03/2026
Antibiotikum   Tobramycin sulfate   
Szemcsepp
aeroszol belsőleges oldat Injekció
Stabilitása gyógyszerészeti készítmények A keverékek stabilitása Stabilitást befolyásoló tényezők Kompatibilitás Irodalom pdf
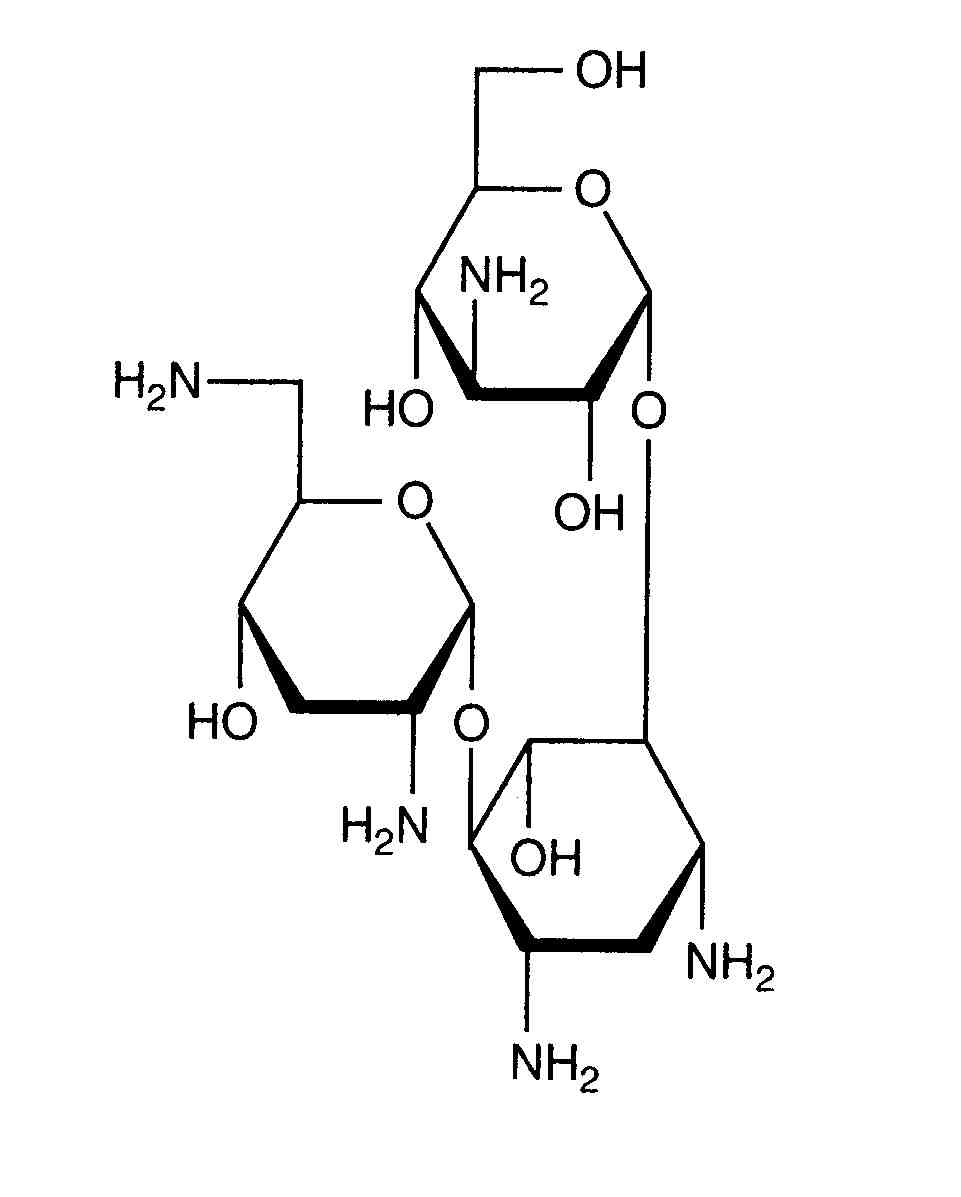
   Kémiai szerkezet   

Szemcsepp

Stabilitást befolyásoló tényezők   Szemcsepp   Stabilitást befolyásoló tényezők : Tobramycin sulfate         
Hiányzó adat

  Mentions Légales