最新更新 :
27/11/2025
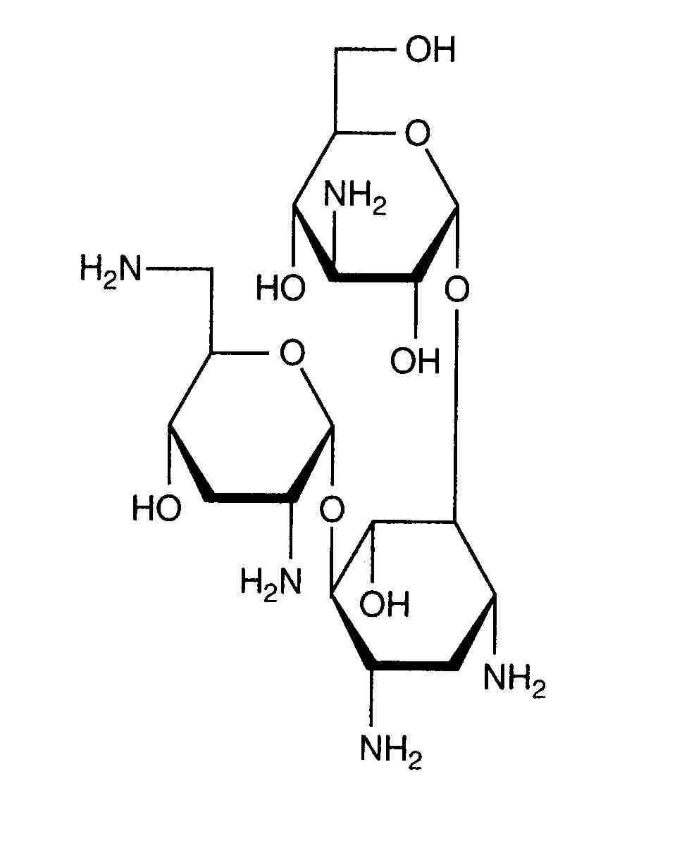
抗菌薬   Tobramycin sulfate   
点眼薬
エアロゾル 注射薬 経口液
調剤時の安定性 混合時の安定性 安定性に影響する因子 互換性 引用文献 PDF
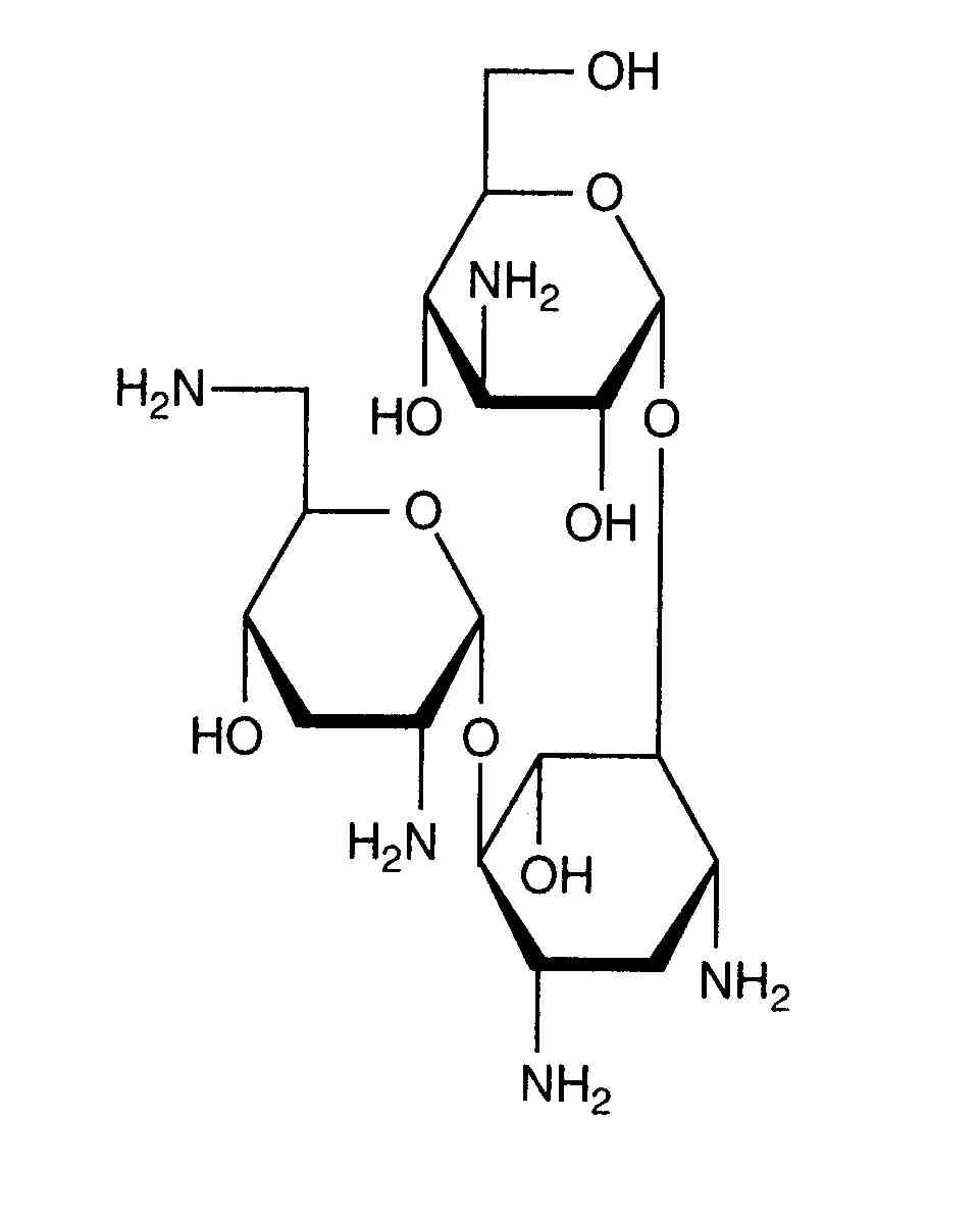
   化学構造  

点眼薬

安定性に影響する因子   点眼薬   安定性に影響する因子 : Tobramycin sulfate         
データなし

  Mentions Légales