Última actualización :
27/11/2025
Antibiótico   Tobramycin sulfate   
Gotas oculares
Aerosol Inyectables Solución Oral
La estabilidad de las preparaciones farmacéuticas Estabilidad en mezcla Factores que influyen sobre la estabilidad Compatibilidades Bibliografía pdf
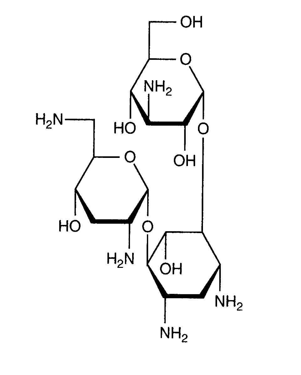
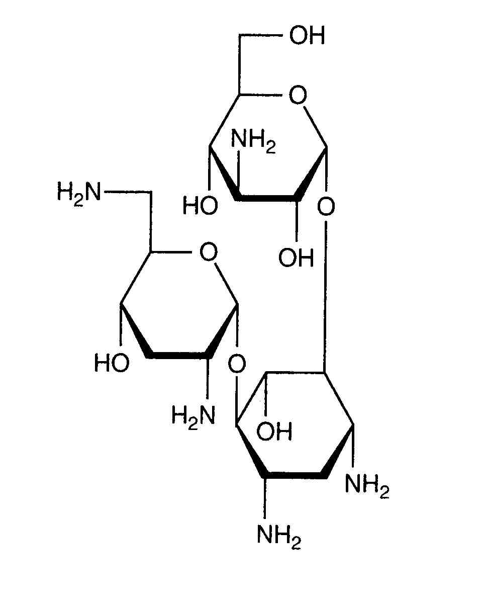
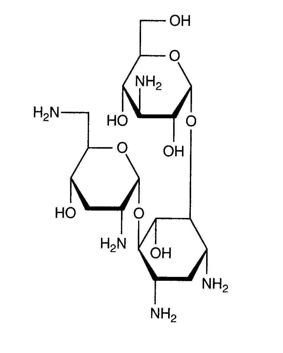
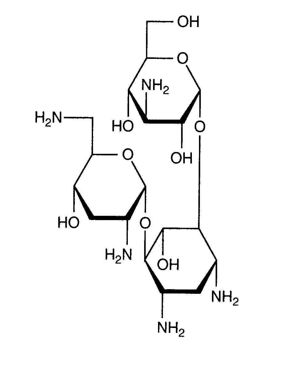
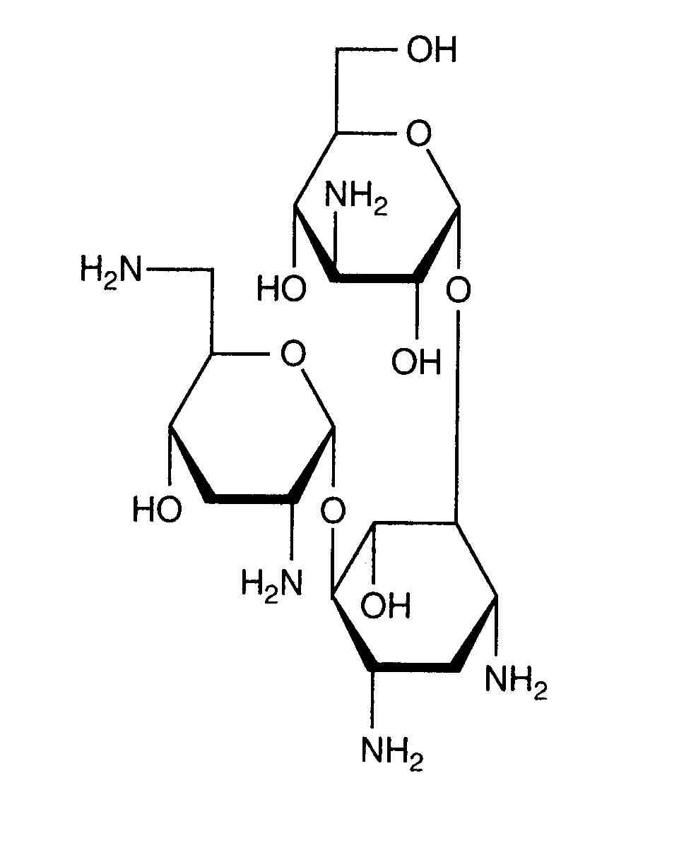
   Estructura química  

Gotas oculares

Factores que influyen sobre la estabilidad   Gotas oculares   Factores que influyen sobre la estabilidad : Tobramycin sulfate         
Ausencia de datos

  Mentions Légales