Poslední aktualizace :
27/11/2025
Antibiotikum   Tobramycin sulfate   
Humbuk
Aerosol injekce Perorální roztok
Stabilita farmaceutických přípravků Stabilita směsí Faktory ovlivňující stabilitu Kompatibilita Odkazy pdf
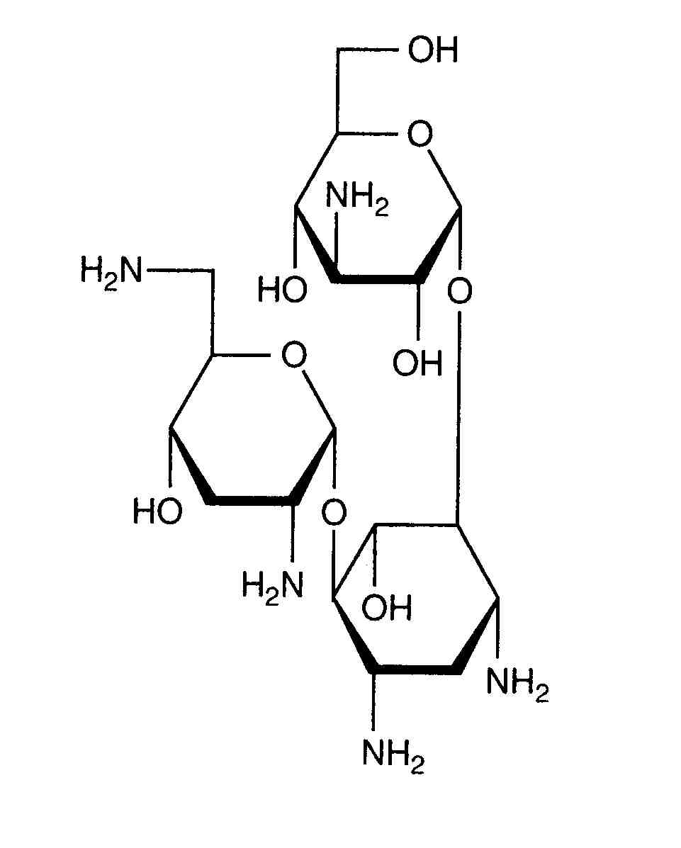
   Chemický vzorec  

Humbuk

Faktory ovlivňující stabilitu   Humbuk   Faktory ovlivňující stabilitu : Tobramycin sulfate         
žádná data

  Mentions Légales