Laatste update :
18/03/2026
Antibioticum   Tobramycin sulfate   
Oogwater
Aerosol injecteerbaar geneesmiddel Orale Oplossing
Stabiliteit van farmaceutische preparaten Stabiliteit in mengsels Factoren die de stabiliteit beïnvloeden Verenigbaarheden Literatuur pdf
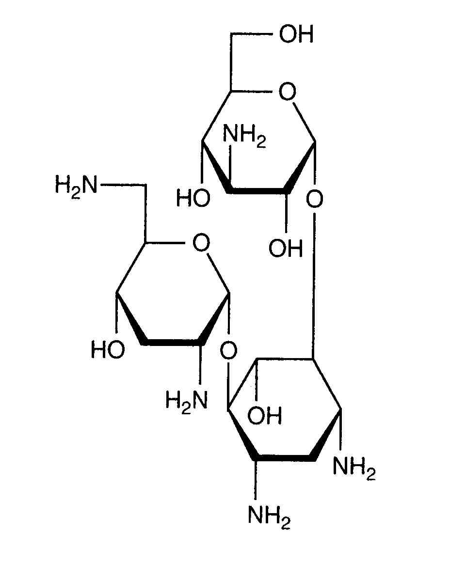
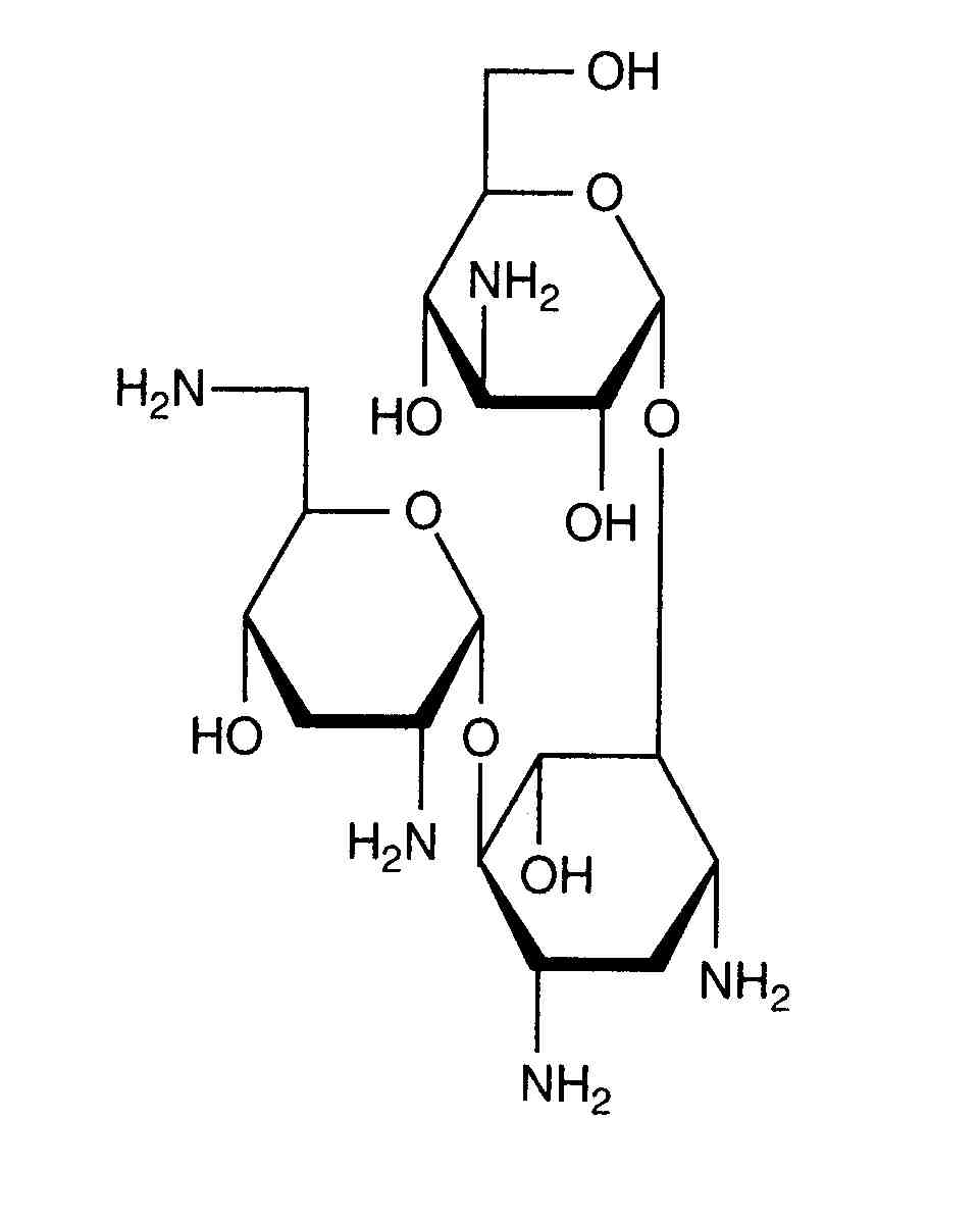
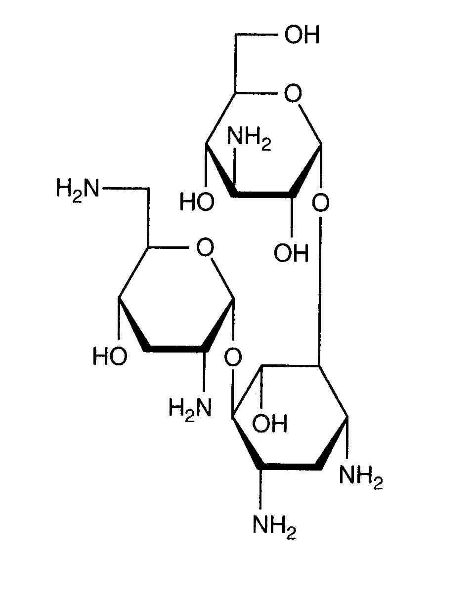
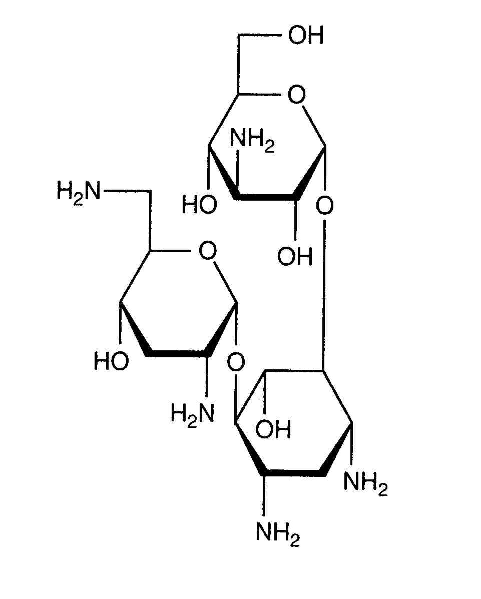
   Molecuulstructuur  

Oogwater

Factoren die de stabiliteit beïnvloeden   Oogwater   Factoren die de stabiliteit beïnvloeden : Tobramycin sulfate         
geen gegevens

  Mentions Légales