آخر تحديث :
17/12/2025
مضاد حيوي   Tobramycin sulfate   
قطرات العين
الأيروصولات حقن عن طريق الفم
استقرار المستحضرات الصيدلانية استقرار مخاليط العوامل التي تؤثر على الاستقرار التوافق مراجع pdf
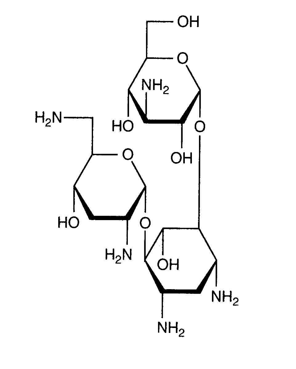
   التركيب الكيميائي  

قطرات العين

العوامل التي تؤثر على الاستقرار   قطرات العين   العوامل التي تؤثر على الاستقرار : Tobramycin sulfate         
لا توجد بيانات

  Mentions Légales