Viimeisin päivitys :
18/03/2026
Antibiootit   Tobramycin sulfate   
Silmätipat
Aerosoli Injektioneste Oraaliliuos
Vakaus lääkevalmisteen Stabilius seoksissa Tekijät, jotka vaikuttavat stabiliuteen Yhteensopivuus Viitteet pdf
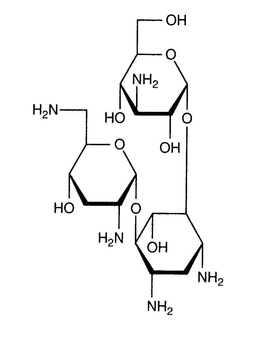
   Kemiallinen rakenne  

Silmätipat

Tekijät, jotka vaikuttavat stabiliuteen   Silmätipat   Tekijät, jotka vaikuttavat stabiliuteen : Tobramycin sulfate         
ei tietoa

  Mentions Légales