Zadnji put ažurirano :
27/11/2025
antibiotik   Tobramycin sulfate   
kapi za oko
aerosol injekcija oralna otopina
Stabilnost farmaceutskih pripravaka Stabilnost mješavine Stabilizacijski faktor Kompatibilnosti Bibliografija pdf
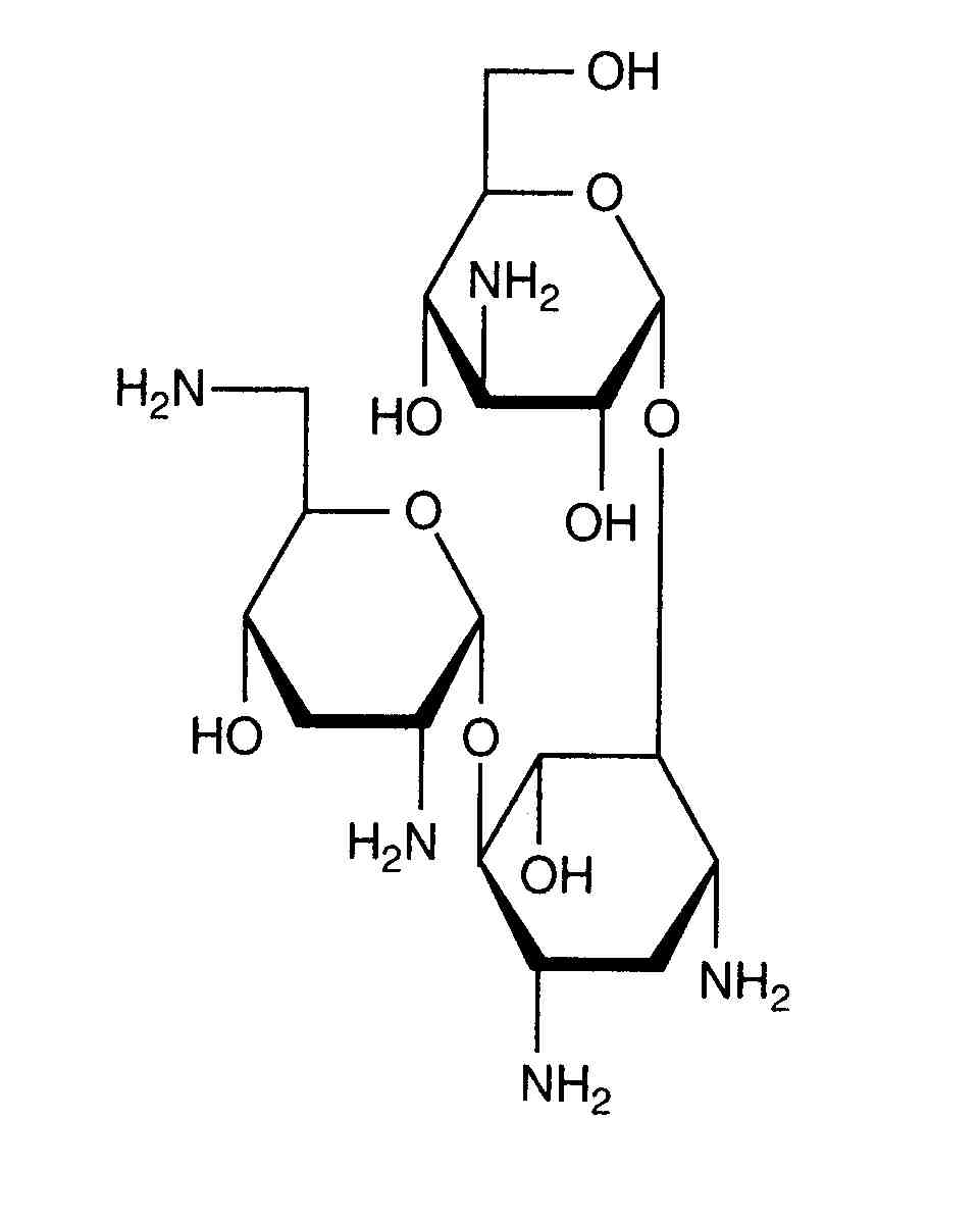
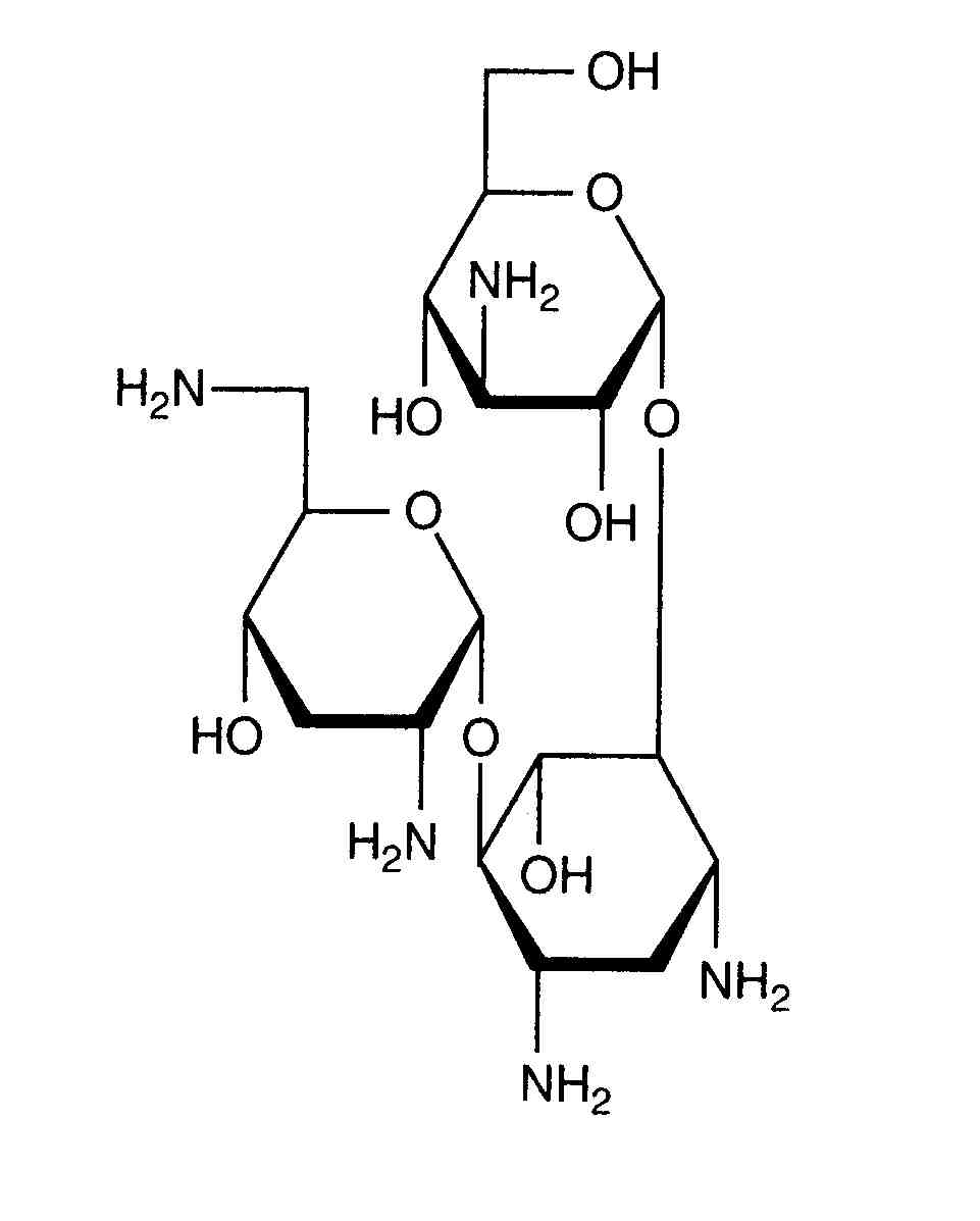
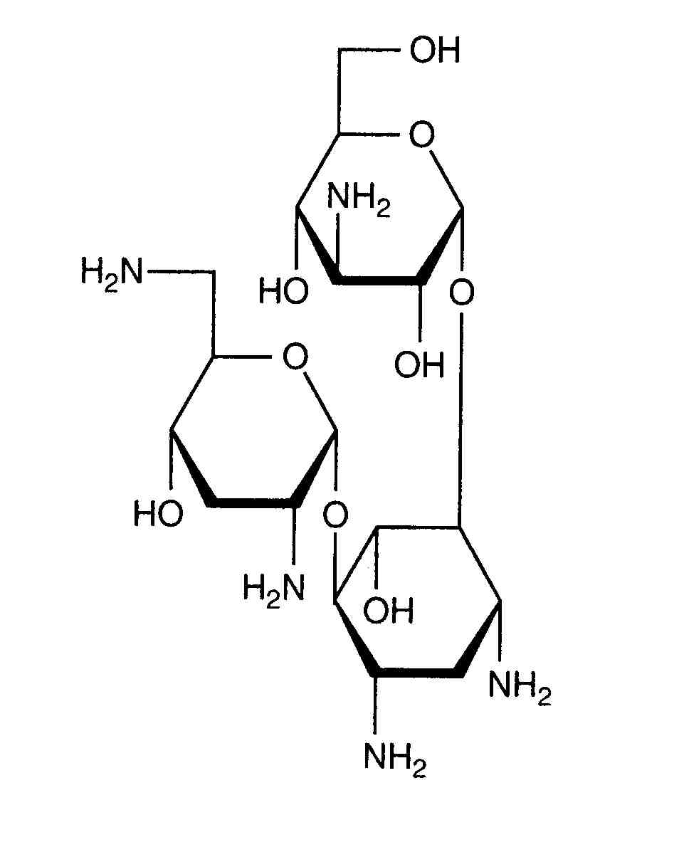
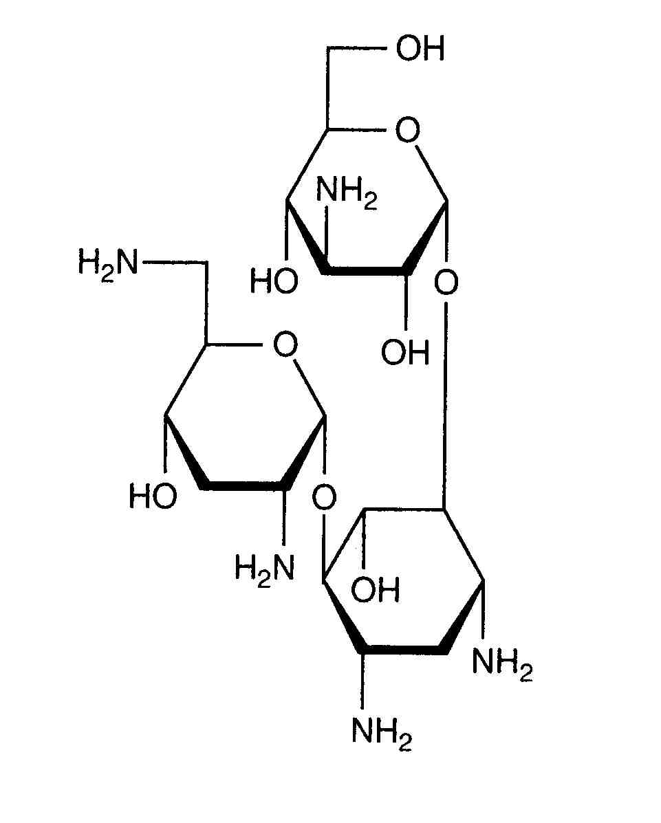
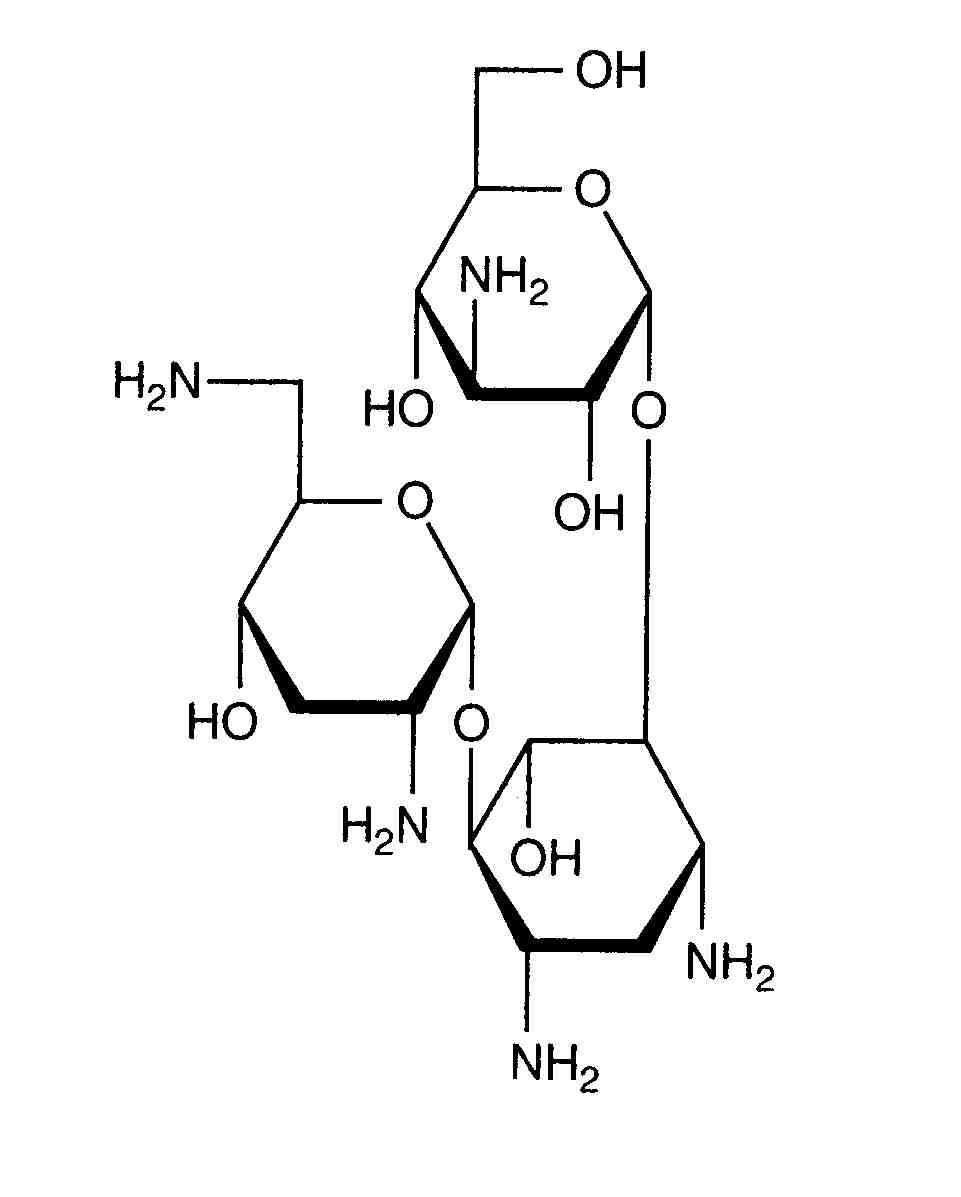
   Kemijska struktura  

kapi za oko

Stabilizacijski faktor   kapi za oko   Stabilizacijski faktor : Tobramycin sulfate         
bez podataka

  Mentions Légales