Siste oppdatering :
27/11/2025
Antibiotika   Tobramycin sulfate   
Øyedråper
Aerosol Injeksjon Mikstur
Stabilitet av farmasøytiske preparater Stabilitet i blandinger Faktorer som påvirker stabiliteten Kompatibilitet Referanser pdf
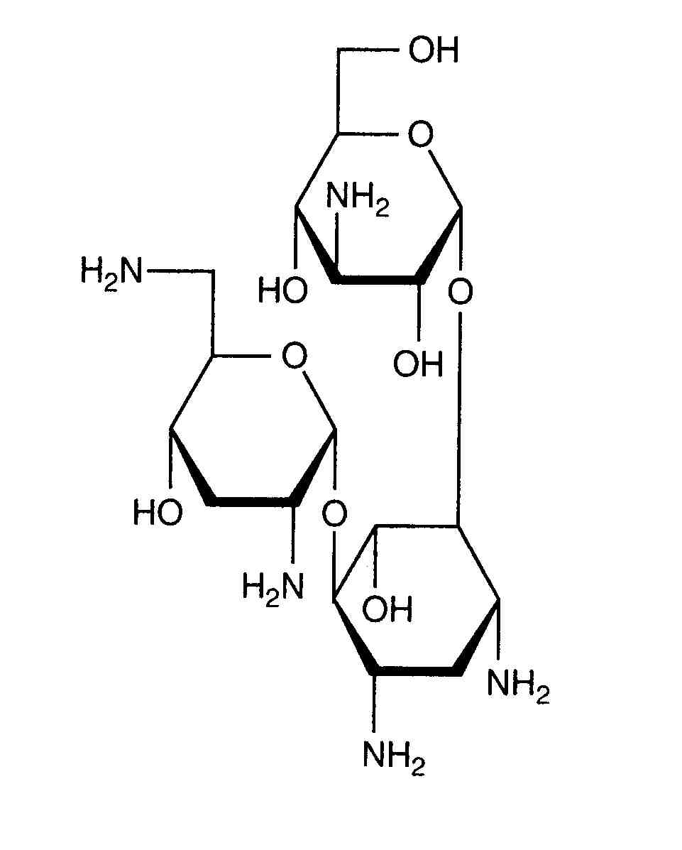
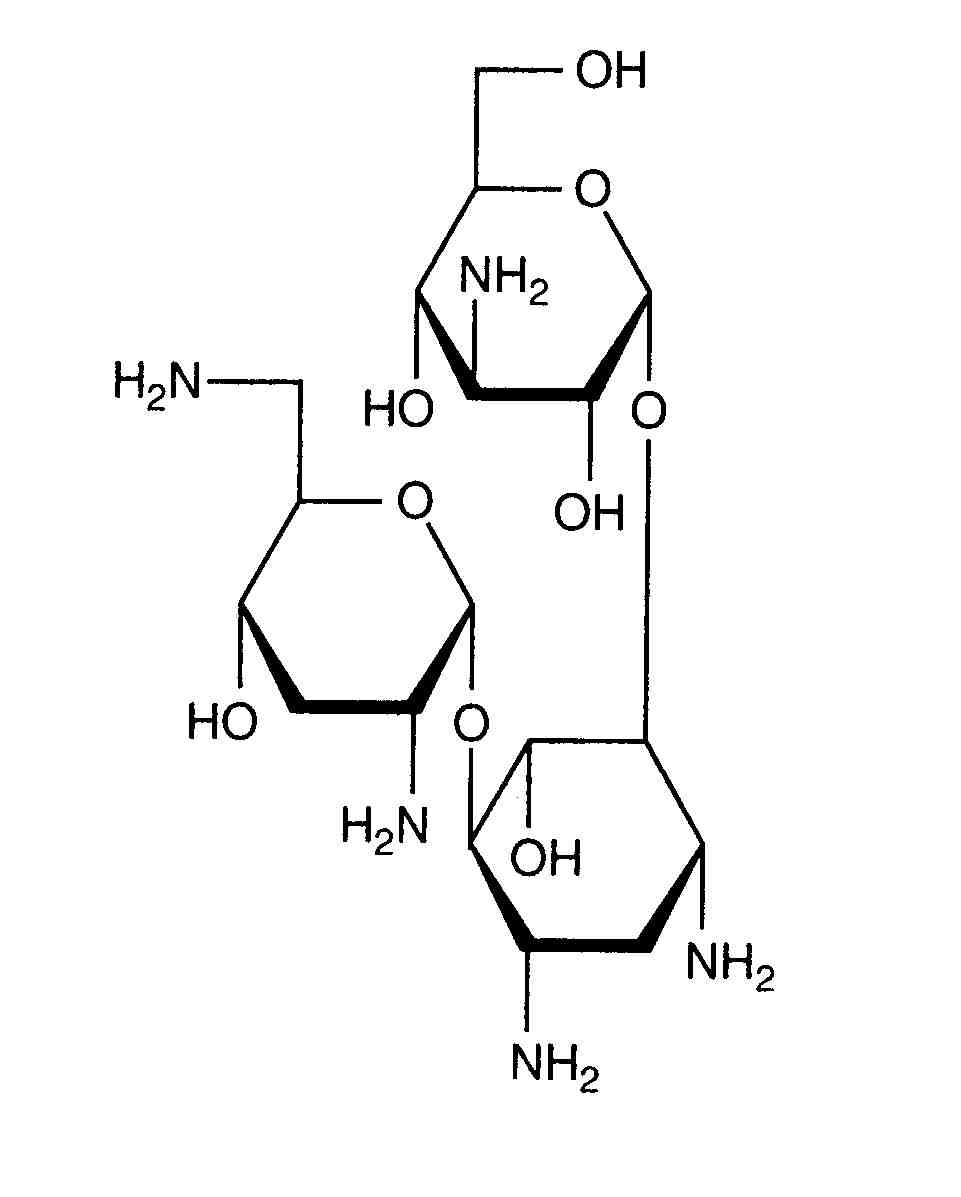
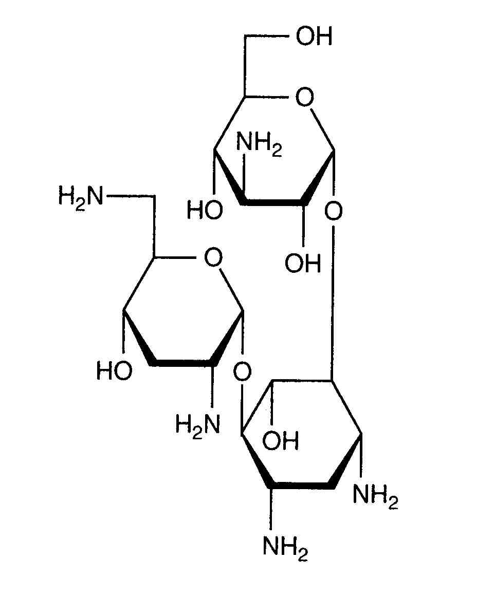
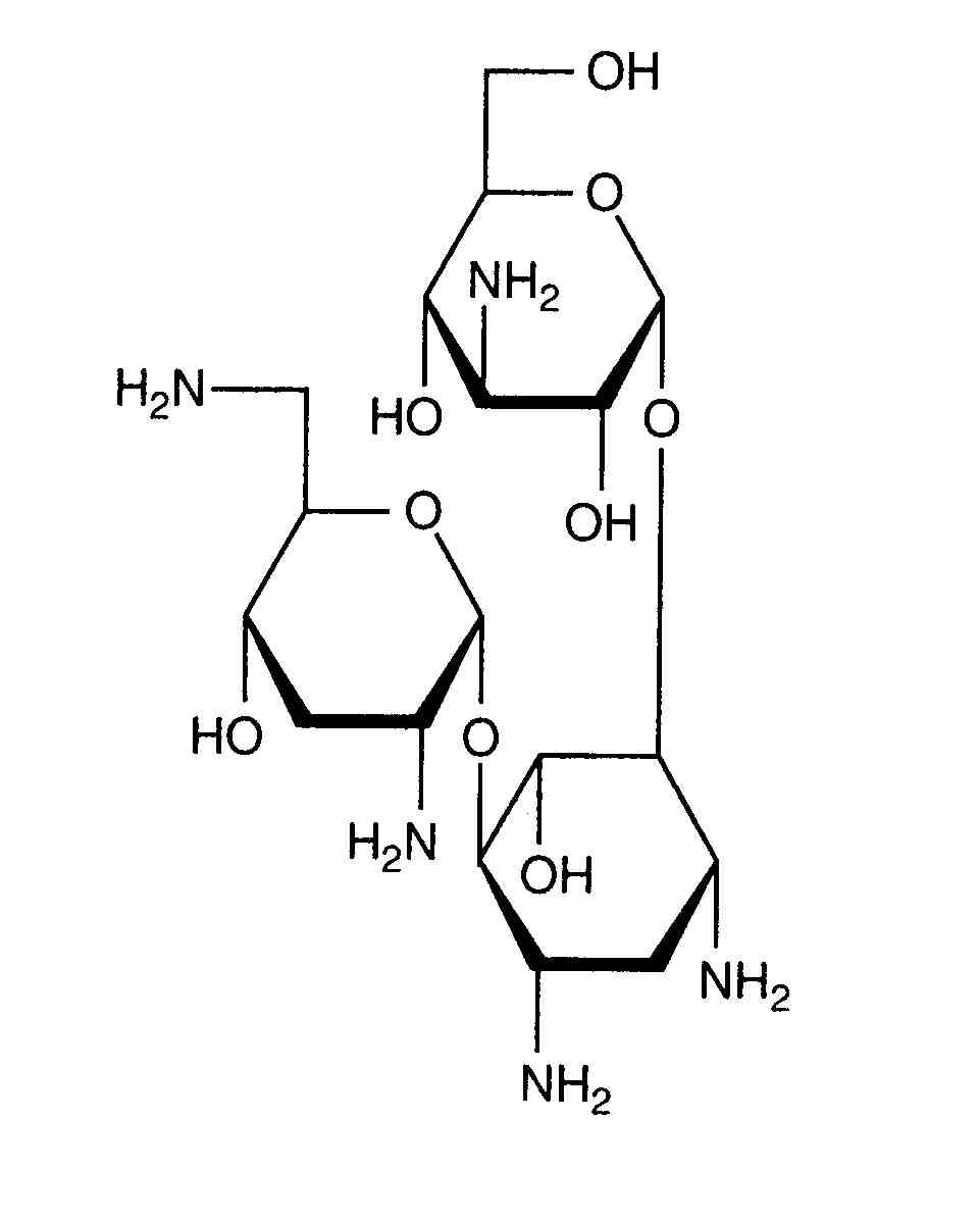
   Kjemisk struktur  

Øyedråper

Faktorer som påvirker stabiliteten   Øyedråper   Faktorer som påvirker stabiliteten : Tobramycin sulfate         
Ingen opplysninger

  Mentions Légales