Última actualização :
18/03/2026
antibiótico   Tobramycin sulfate   
solução oftálmica
aerossol injetável Solução Oral
Estabilidade de preparações farmacêuticas Estabilidade em misturas Factores que afectam a sua estabilidade Compatibilidade Bibliografía pdf
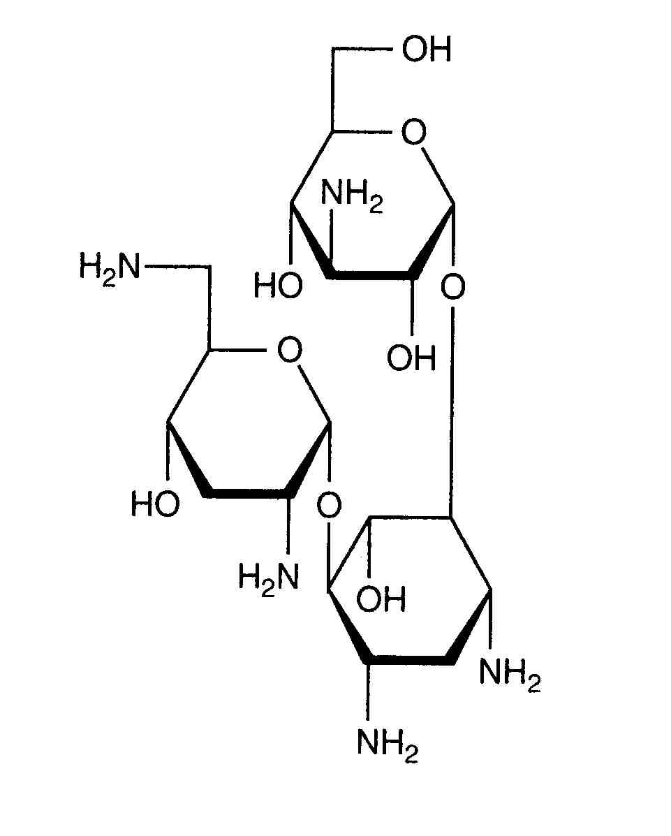
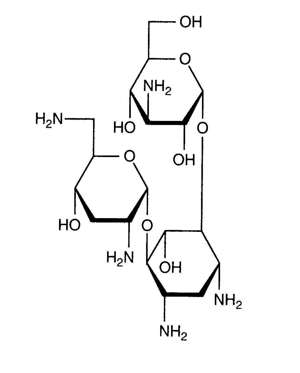
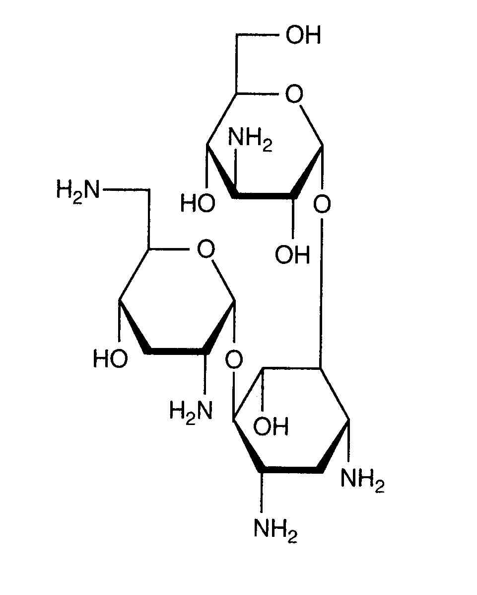
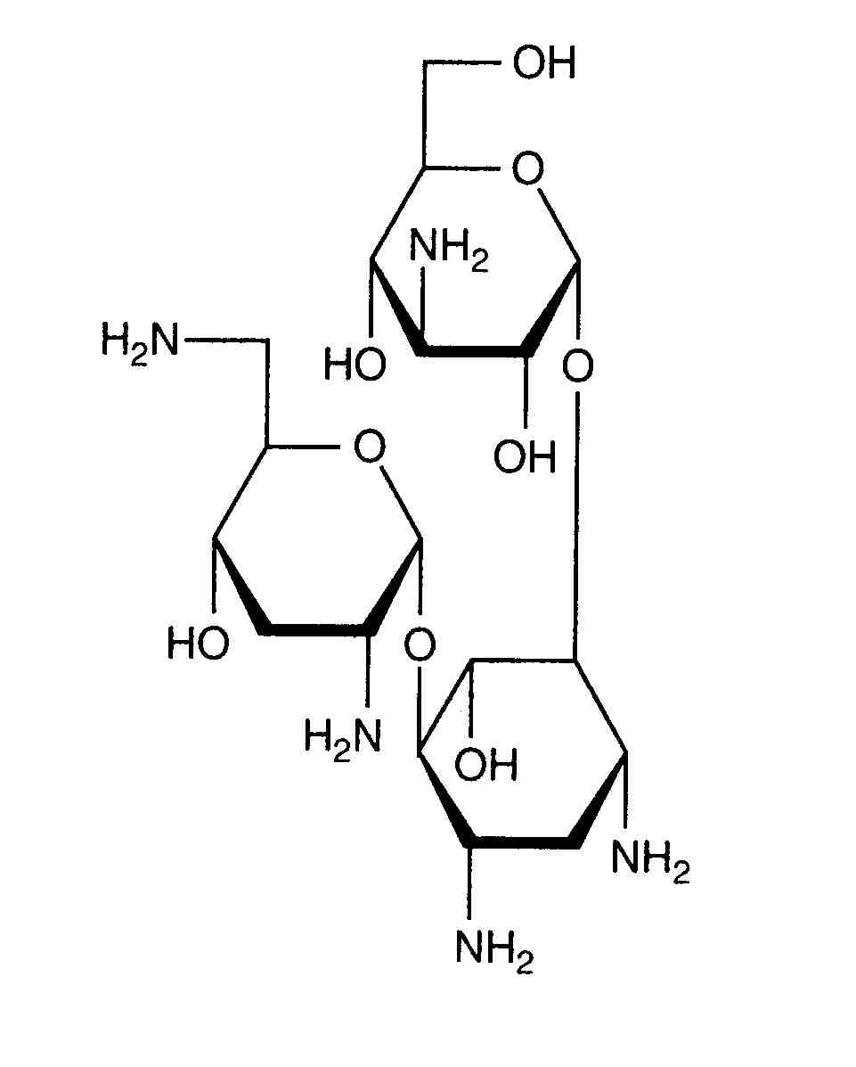
   estrutura química  

solução oftálmica

Factores que afectam a sua estabilidade   solução oftálmica   Factores que afectam a sua estabilidade : Tobramycin sulfate         
Ausência de dados

  Mentions Légales