viimane versioon :
18/03/2026
antibiootikum   Gentamicin sulfate  
Silmatilgad
Süsteravim
Stabiilsust ravimpreparaadid Stabiilsust mõjutavad tegurid stabiilsust mõjutavad faktorid Sobimatus Viited pdf
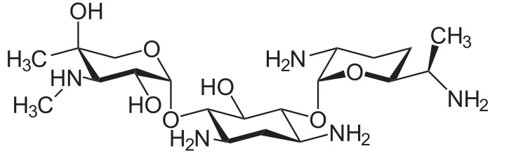
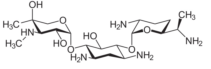
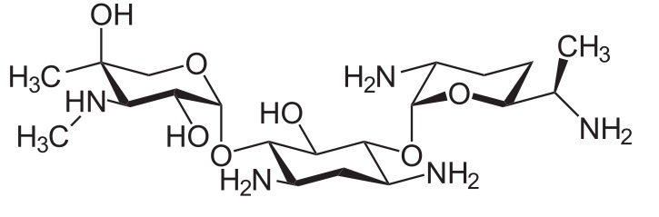
   keemiline struktuur  

Silmatilgad
Sobimatus   Silmatilgad   Sobimatus : Gentamicin sulfate              
andmed puuduvad

  Mentions Légales