Siste oppdatering :
18/03/2026
Antibiotika   Gentamicin sulfate  
Øyedråper
Injeksjon
Stabilitet av farmasøytiske preparater Stabilitet i blandinger Faktorer som påvirker stabiliteten Kompatibilitet Referanser pdf
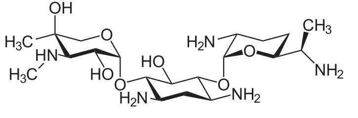
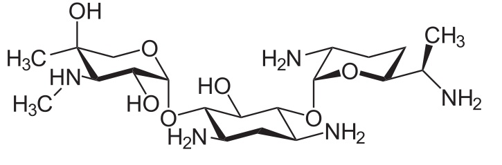
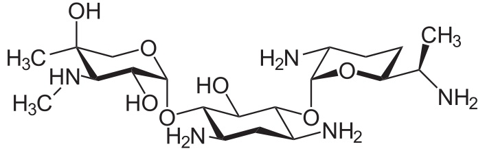
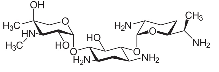
   Kjemisk struktur  

Øyedråper
Kompatibilitet   Øyedråper   Kompatibilitet : Gentamicin sulfate              
Ingen opplysninger

  Mentions Légales