Ostatnia aktualizacja :
18/03/2026
Antybiotyk   Gentamicin sulfate  
Krople oczne
Injekcje
Stabilność preparatów farmaceutycznych Trwałość w mieszaninie Czynnik wpływający na trwałość Zgodność Bibliografia pdf
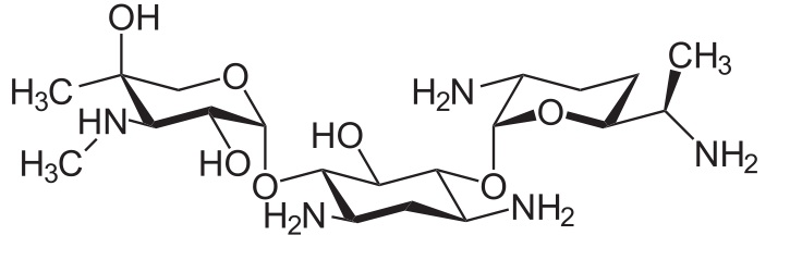
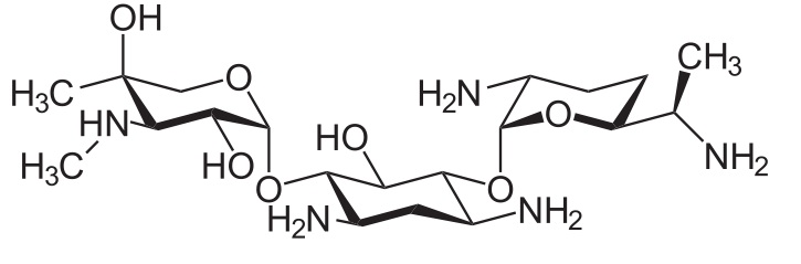
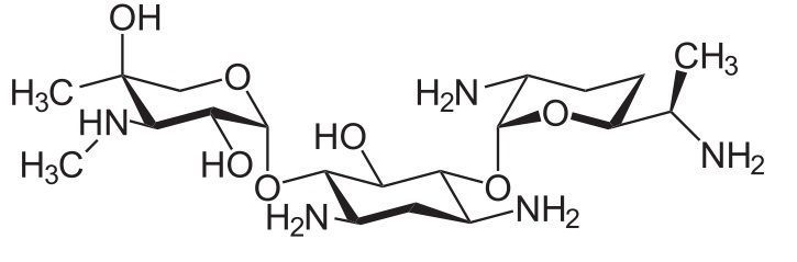
   Struktura chemiczna  

Krople oczne
Zgodność   Krople oczne   Zgodność : Gentamicin sulfate              
Brak danych

  Mentions Légales