Utolsó frissítés :
18/03/2026
Antibiotikum   Gentamicin sulfate  
Szemcsepp
Injekció
Stabilitása gyógyszerészeti készítmények A keverékek stabilitása Stabilitást befolyásoló tényezők Kompatibilitás Irodalom pdf
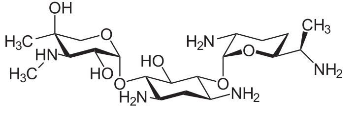
   Kémiai szerkezet   

Szemcsepp
Kompatibilitás   Szemcsepp   Kompatibilitás : Gentamicin sulfate              
Hiányzó adat

  Mentions Légales