Ultimele actualizari :
18/03/2026
Antibiotic   Gentamicin sulfate  
colir
Injectabil
Stabilitatea preparatelor farmaceutice Stabilitatea in amestec Factorii care influenteaza stabilitatea Compatibilitate Bibliografie pdf
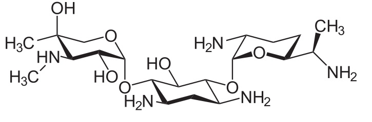
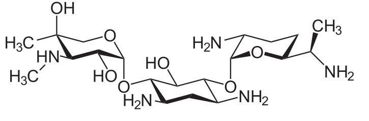
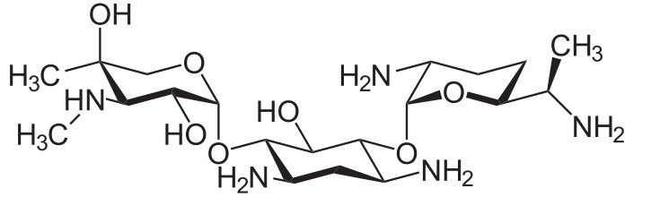
   Formula chimica  

colir
Compatibilitate   colir   Compatibilitate : Gentamicin sulfate              
Absenta de date

  Mentions Légales