Ultimo aggiornamento :
18/03/2026
Antibiotico   Gentamicin sulfate  
Collirio
Iniezione
Stabilità dei preparati farmaceutici Stabilità in miscela Fattori che influenzano la stabilità Compatibilità Bibliografia pdf
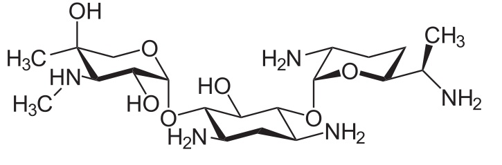
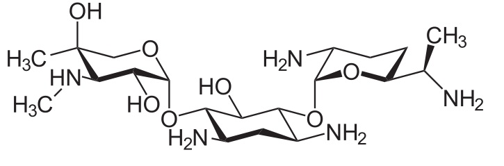
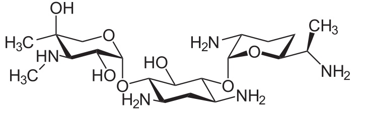
   Struttura chimica  

Collirio
Compatibilità   Collirio   Compatibilità : Gentamicin sulfate              
Assenza di dati

  Mentions Légales