Seneste opdatering :
18/03/2026
Antibiotisk   Gentamicin sulfate  
Øjendråber
Injektion
Stabilitet af farmaceutiske tilberedninger Stabilitet i blandinger Faktorer der påvirker stabiliteten Kompatibilitet Bibliografi pdf
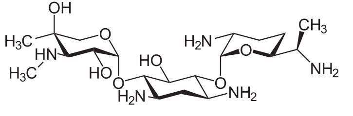
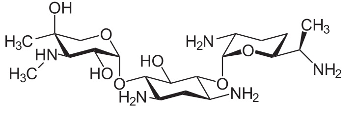
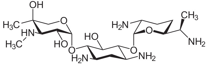
   Kemisk struktur  

Øjendråber
Kompatibilitet   Øjendråber   Kompatibilitet : Gentamicin sulfate              
Ingen data

  Mentions Légales