Pēdējā atjaunošana :
18/03/2026
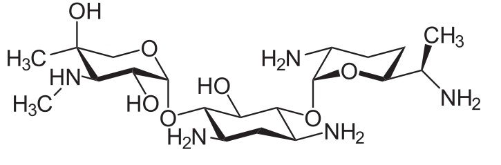
Antibiotika   Gentamicin sulfate  
Acu pilieni
Injekcija
Stabilitāte farmaceitisko preparātu Maisījuma stabilitāte Stabilitāti ietekmējoši faktori Saderība Literatūras saraksts pdf
   Ķīmiskā uzbūve   

Acu pilieni
Saderība   Acu pilieni   Saderība : Gentamicin sulfate              
Nav datu

  Mentions Légales