Останнє оновлення :
18/03/2026
Антибіотик   Gentamicin sulfate  
Очні краплі
ін'єкція
Стабільність фармацевтичних препаратів Стійкість сумішей Фактори, що впливають на стабільність Сумісність Список літератури pdf
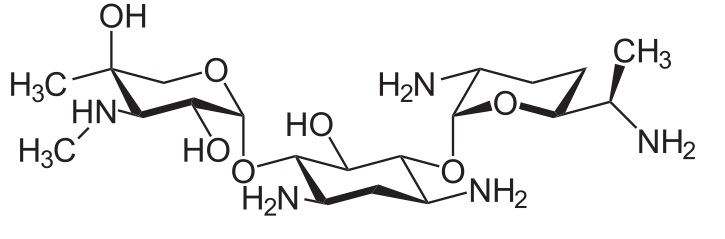
   Хімічна структура  

Очні краплі
Сумісність   Очні краплі   Сумісність : Gentamicin sulfate              
7 / 5 000 Résultats de traduction Немає даних

  Mentions Légales