Viimeisin päivitys :
18/03/2026
Antibiootit   Gentamicin sulfate  
Silmätipat
Injektioneste
Vakaus lääkevalmisteen Stabilius seoksissa Tekijät, jotka vaikuttavat stabiliuteen Yhteensopivuus Viitteet pdf
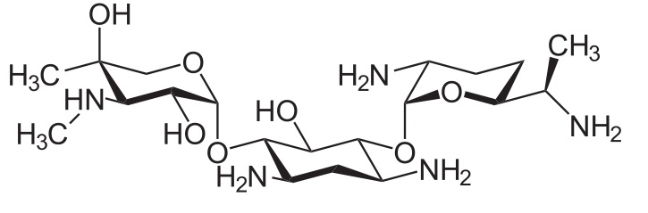
   Kemiallinen rakenne  

Silmätipat
Yhteensopivuus   Silmätipat   Yhteensopivuus : Gentamicin sulfate              
ei tietoa

  Mentions Légales