Última actualização :
18/03/2026
antibiótico   Gentamicin sulfate  
solução oftálmica
injetável
Estabilidade de preparações farmacêuticas Estabilidade em misturas Factores que afectam a sua estabilidade Compatibilidade Bibliografía pdf
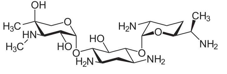
   estrutura química  

solução oftálmica
Compatibilidade   solução oftálmica   Compatibilidade : Gentamicin sulfate              
Ausência de dados

  Mentions Légales