Son güncelleme :
31/03/2026
Antibiyotik   Colistin mesilate sodium  
Aerosol
Enjeksiyon
Farmasötik preparatlar Kararlılığı Karışımlardaki stabilitesi Stabiliteyi etkileyen faktörler Uyumluluk Kaynaklar pdf
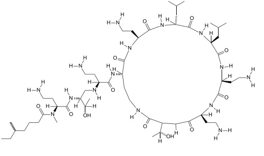
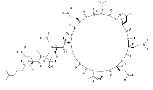
   Kimyasal yapı   

Aerosol

Stabiliteyi etkileyen faktörler    Aerosol   Stabiliteyi etkileyen faktörler : Colistin mesilate sodium        
veri yok

  Mentions Légales