Letztes “update” :
31/03/2026
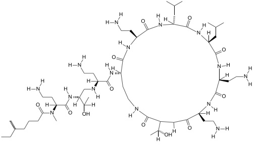
Antibiotikum   Colistin mesilate sodium  
Aerosol
Injektion
Stabilität von pharmazeutischen Präparaten Gemengestabilität Stabilitätbeeinflussende Faktoren Kompatibilitäten Literaturverzeichnis pdf
   Chemische Struktur  

Aerosol

Stabilitätbeeinflussende Faktoren   Aerosol   Stabilitätbeeinflussende Faktoren : Colistin mesilate sodium        
Keine Daten

  Mentions Légales