viimane versioon :
31/03/2026
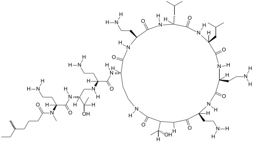
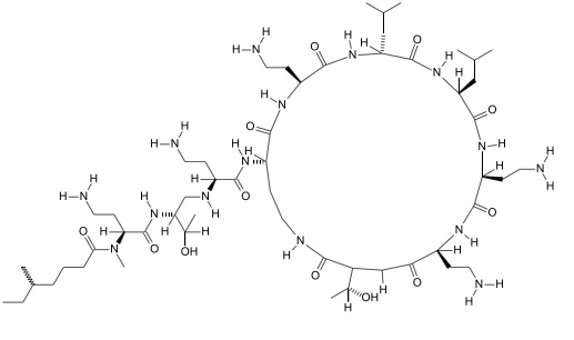
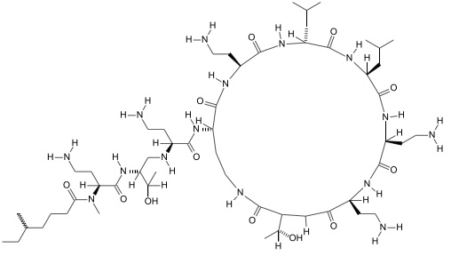
antibiootikum   Colistin mesilate sodium  
aerosool
Süsteravim
Stabiilsust ravimpreparaadid Stabiilsust mõjutavad tegurid stabiilsust mõjutavad faktorid Sobimatus Viited pdf
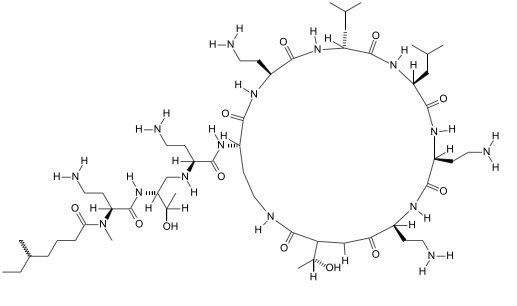
   keemiline struktuur  

aerosool

stabiilsust mõjutavad faktorid   aerosool   stabiilsust mõjutavad faktorid : Colistin mesilate sodium        
andmed puuduvad

  Mentions Légales