Viimeisin päivitys :
31/03/2026
Antibiootit   Colistin mesilate sodium  
Aerosoli
Injektioneste
Vakaus lääkevalmisteen Stabilius seoksissa Tekijät, jotka vaikuttavat stabiliuteen Yhteensopivuus Viitteet pdf
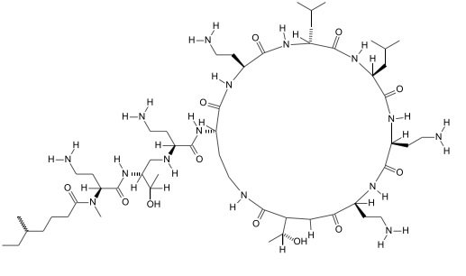
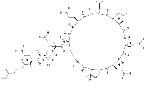
   Kemiallinen rakenne  

Aerosoli

Tekijät, jotka vaikuttavat stabiliuteen   Aerosoli   Tekijät, jotka vaikuttavat stabiliuteen : Colistin mesilate sodium        
ei tietoa

  Mentions Légales