Última actualización :
31/03/2026
Antibiótico   Colistin mesilate sodium  
Aerosol
Inyectables
La estabilidad de las preparaciones farmacéuticas Estabilidad en mezcla Factores que influyen sobre la estabilidad Compatibilidades Bibliografía pdf
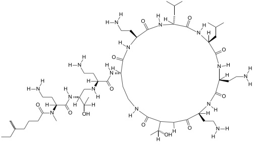
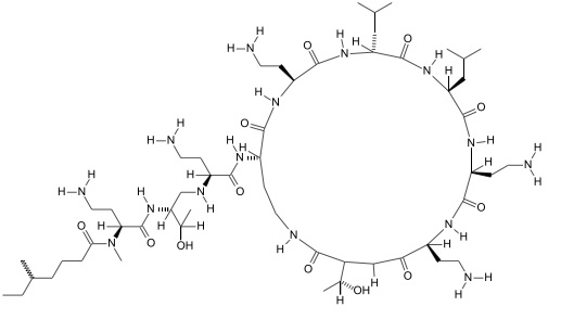
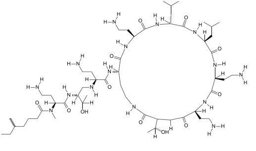
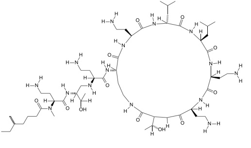
   Estructura química  

Aerosol

Factores que influyen sobre la estabilidad   Aerosol   Factores que influyen sobre la estabilidad : Colistin mesilate sodium        
Ausencia de datos

  Mentions Légales