Poslední aktualizace :
31/03/2026
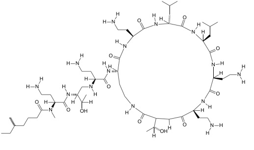
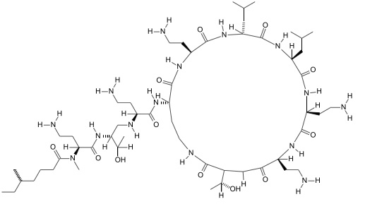
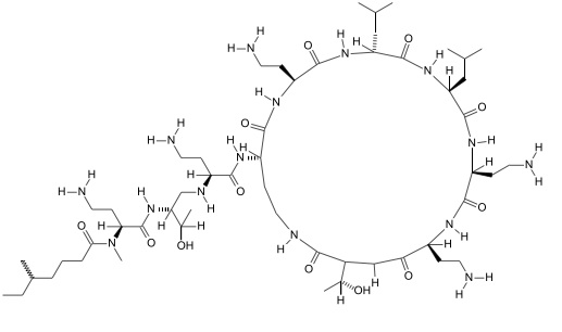
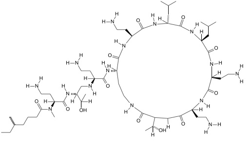
Antibiotikas   Colistin mesilate sodium  
Aerozolis
Įpurškimas
Stabilumas farmacinių preparatų Mišinių stabilumas Stabilumą lemiantys veiksniai Suderinamumas Bibliografija pdf
   Cheminė sandara  

Aerozolis

Stabilumą lemiantys veiksniai   Aerozolis   Stabilumą lemiantys veiksniai : Colistin mesilate sodium        
Nėra duomenų

  Mentions Légales