最新更新 :
31/03/2026
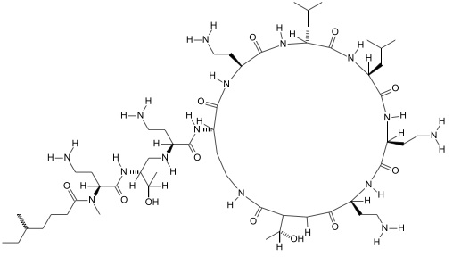
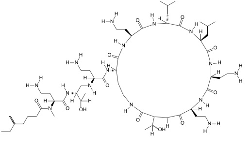
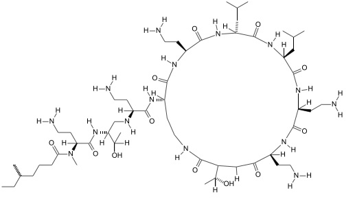
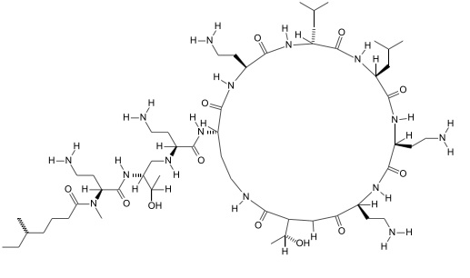
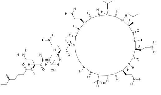
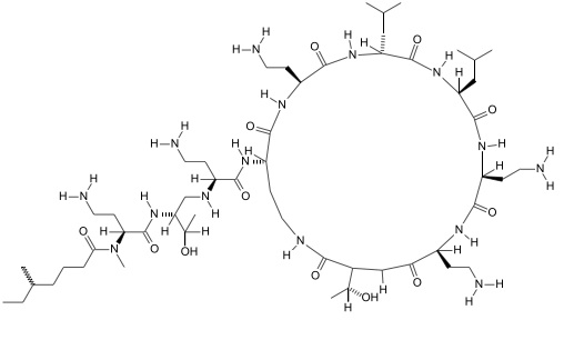
抗生素   Colistin mesilate sodium  
气雾剂
注射液
制剂的稳定性 混合物稳定性 影响稳定性的因素 兼容性 引用文献 PDF
   化学式  

气雾剂

影响稳定性的因素   气雾剂   影响稳定性的因素 : Colistin mesilate sodium        
无数据

  Mentions Légales