Τελευταία ενημέρωση :
31/03/2026
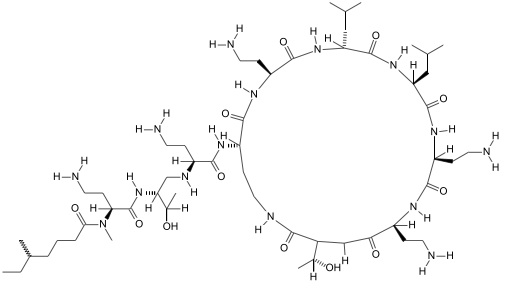
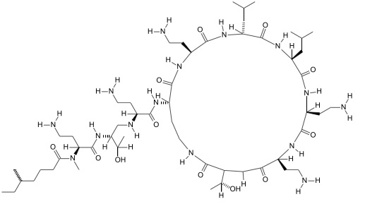
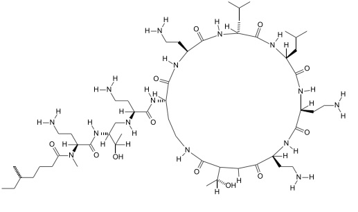
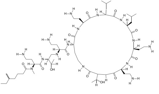
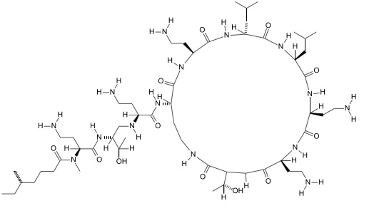
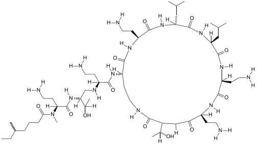
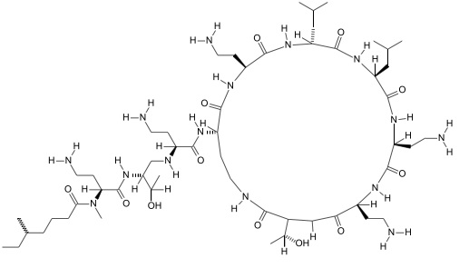
Αντιβιοτικό   Colistin mesilate sodium  
Αεροζόλ
Ενέσιμο
Σταθερότητα και συμβατότητα των φαρμάκων Σταθερότητα σε μίγματα Παράγοντας που επηρεάζει τη σταθερότητα Συμβατότητες Βιβλιογραφία pdf
   χημική δομή  

Αεροζόλ

Παράγοντας που επηρεάζει τη σταθερότητα   Αεροζόλ   Παράγοντας που επηρεάζει τη σταθερότητα : Colistin mesilate sodium        
Δεν υπάρχουν πληροφορίες

  Mentions Légales