Senaste uppdateringen :
31/03/2026
Antibiotikum   Colistin mesilate sodium  
Aerosol
injektion
Stabilitet av läkemedel Stabilitet i blandningar Faktorer som påverkar stabiliteten Kompatibilitet Hänvisningar pdf
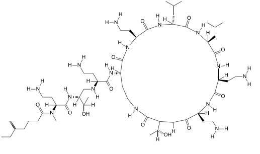
   Molekylstruktur  

Aerosol

Faktorer som påverkar stabiliteten   Aerosol   Faktorer som påverkar stabiliteten : Colistin mesilate sodium        
Ingen uppgift

  Mentions Légales