Последнее обновление :
31/03/2026
Антибиотик   Colistin mesilate sodium  
Аэрозоль
Инъекция
Стабильность фармацевтических препаратов Стабильность смесей Факторы, которые влияют на стабильность Совместимость Библиография pdf
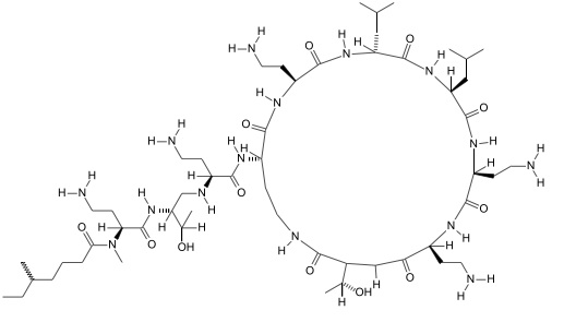
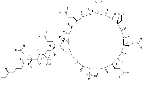
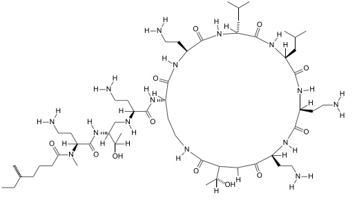
   Химическая структура  

Аэрозоль

Факторы, которые влияют на стабильность   Аэрозоль   Факторы, которые влияют на стабильность : Colistin mesilate sodium        
данных нет

  Mentions Légales