Ostatnia aktualizacja :
31/03/2026
Antybiotyk   Colistin mesilate sodium  
Aerozol
Injekcje
Stabilność preparatów farmaceutycznych Trwałość w mieszaninie Czynnik wpływający na trwałość Zgodność Bibliografia pdf
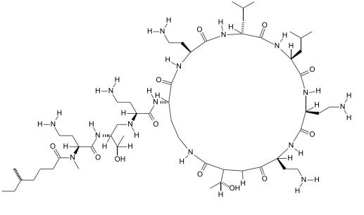
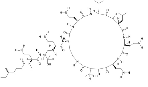
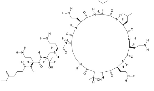
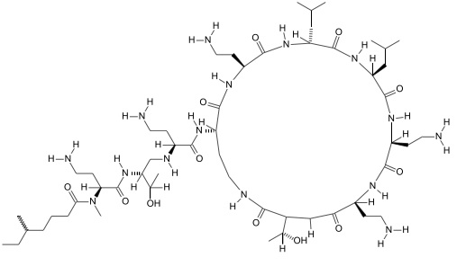
   Struktura chemiczna  

Aerozol

Czynnik wpływający na trwałość   Aerozol   Czynnik wpływający na trwałość : Colistin mesilate sodium        
Brak danych

  Mentions Légales