Seneste opdatering :
31/03/2026
Antibiotisk   Colistin mesilate sodium  
Aerosol
Injektion
Stabilitet af farmaceutiske tilberedninger Stabilitet i blandinger Faktorer der påvirker stabiliteten Kompatibilitet Bibliografi pdf
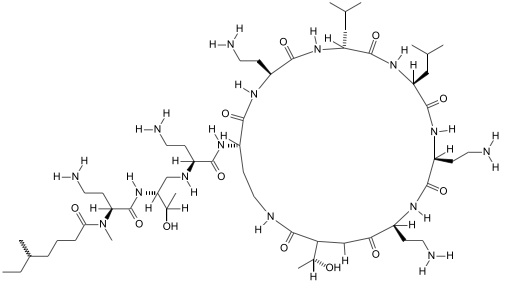
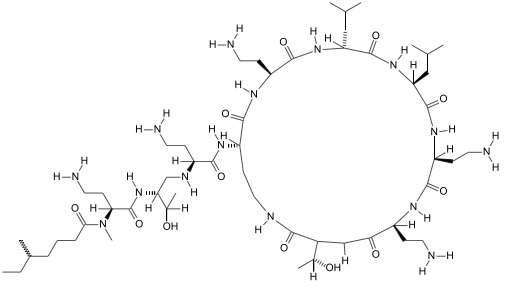
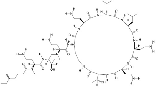
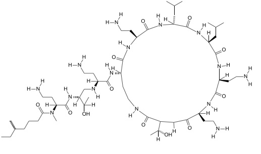
   Kemisk struktur  

Aerosol

Faktorer der påvirker stabiliteten   Aerosol   Faktorer der påvirker stabiliteten : Colistin mesilate sodium        
Ingen data

  Mentions Légales