Pēdējā atjaunošana :
31/03/2026
Antibiotika   Colistin mesilate sodium  
Aerosols
Injekcija
Stabilitāte farmaceitisko preparātu Maisījuma stabilitāte Stabilitāti ietekmējoši faktori Saderība Literatūras saraksts pdf
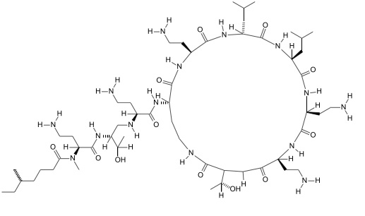
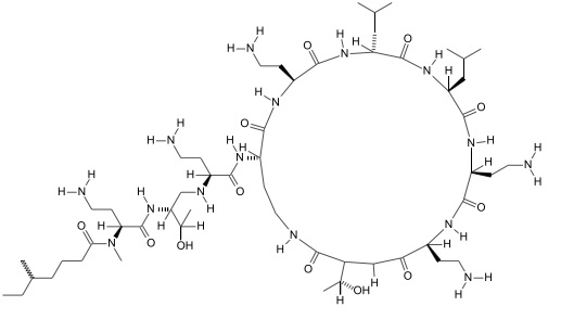
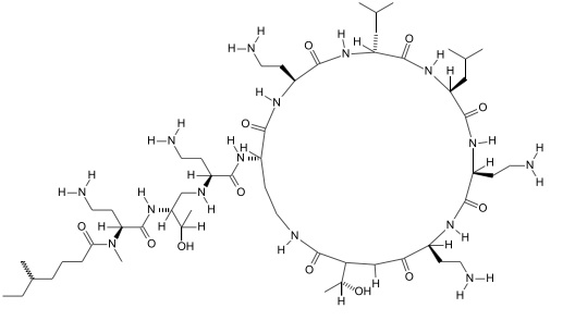
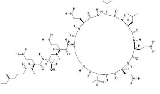
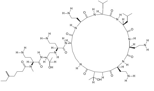
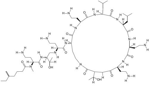
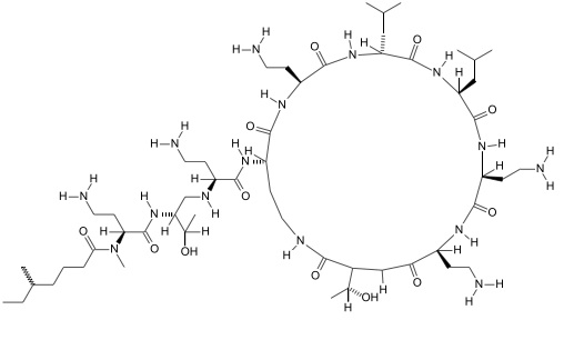
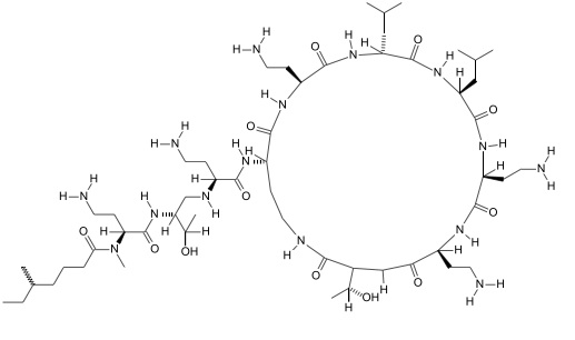
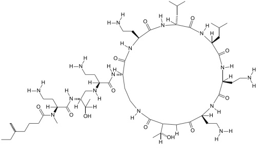
   Ķīmiskā uzbūve   

Aerosols

Stabilitāti ietekmējoši faktori   Aerosols   Stabilitāti ietekmējoši faktori : Colistin mesilate sodium        
Nav datu

  Mentions Légales