Последно актуализиране :
31/03/2026
Антибиотик   Colistin mesilate sodium  
Аерозол
Инжекция/Инжекционен
Стабилност на лекарствени препарати Стабилност на смеси Фактори, повлияващи стабилността Съвместимост Библиография Pdf
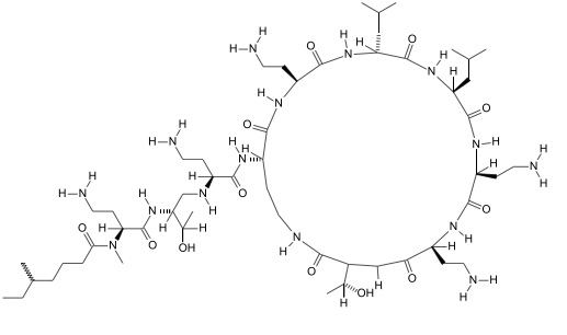
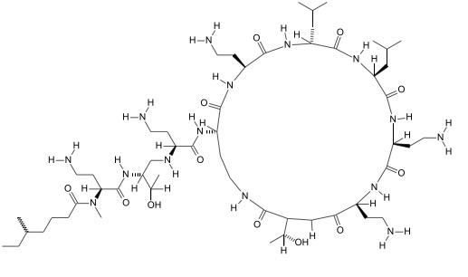
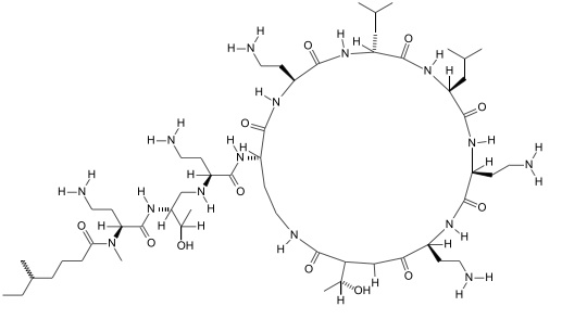
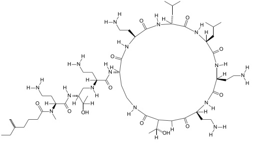
   Химична структура  

Аерозол

Фактори, повлияващи стабилността   Аерозол   Фактори, повлияващи стабилността : Colistin mesilate sodium        
Няма данни

  Mentions Légales