Son güncelleme :
17/12/2025
kanser ilaç   Cyclophosphamide  
Enjeksiyon
Kapsül Oral solüsyon / oral çözelti
Çözeltilerin stabilitesi Karışımlardaki stabilitesi Stabiliteyi etkileyen faktörler Uyumluluk Uygulama yöntemi Kaynaklar pdf
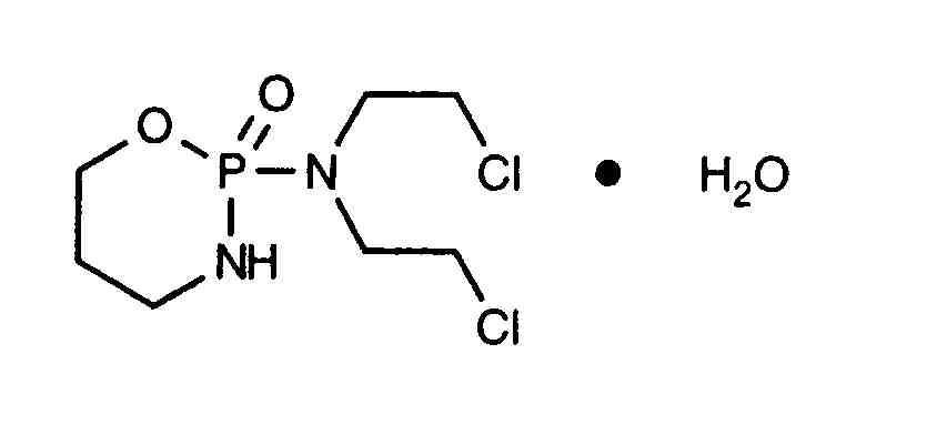
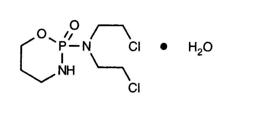
   Kimyasal yapı   

Ticari isim   Ticari isim     

Trade names are indicative and excipients composition can be different depending on the country and manufacturers

Alkyloxan Malezya, Mısır
Celomide Hindistan
Ciclofosfamida Arjantin, Romanya, Şili
Cicloxal İspanya
Cryofaxol Meksika
Cycloblastin Avustralya
Cycloblastine Hollanda
Cyclophosphamid Almanya, Danimarka
Cyclophosphamide Amerika Birleşik Devletleri, Büyük Britanya, Suudi Arabistan, yeni Zelanda
Cyclostin Almanya
Cycloxan Malezya
Cycram Mısır
Cytoxan Amerika Birleşik Devletleri, Kanada, Macaristan
Eldamide Hindistan
Endoxan Almanya, Avustralya, Avusturya, Belçika, Birleşik Arap Emirlikleri, Ekvador, Fas, Fransa, Hindistan, Hırvatistan, Hollanda, İran, İsviçre, İtalya, Kolombiya, Lüksemburg, Macaristan, Polonya, Portekiz, Şili, Slovenya, Suudi Arabistan, Tayland, Tunus, Türkiye, Venezuela, yeni Zelanda, Yunanistan
Endoxana Büyük Britanya, İrlanda
Formitex Kolombiya, Meksika
Genoxal İspanya
Genuxal Brezilya
Hidrofosmin Meksika
Ledoxan Kolombiya
Ledoxina Kolombiya, Meksika
Neophos Mısır
Neosar Amerika Birleşik Devletleri
Procytox Kanada
Sendoxan Danimarka, Finlandiya, İsveç, İzlanda, Norveç
Syklofosfamid Finlandiya, Türkiye
Karışımlardaki stabilitesi   Enjeksiyon    Karışımlardaki stabilitesi : Cyclophosphamide     
Saklama kabı Çözücü Konsantrasyon Bileşik Isı Saklama    Stabilite süresi Kaynaklar
Cam Enjeksiyonluk su 1 mg/ml
Enjeksiyon   Cyclophosphamide   
Enjeksiyon   Granisetron hydrochloride 0,5 mg/ml
20°C-23°C
4 Zaman
I_ık 57
Kanıt düzeyi A+
Cam Glukoz %5 10 mg/ml
Enjeksiyon   Cyclophosphamide   
Enjeksiyon   Palonosetron hydrochloride 50 µg/ml
25°C
4 Zaman
I_ık 2016
Kanıt düzeyi A+
Polivinil klorür Sodyum klorür % 0,9 1 mg/ml
Enjeksiyon   Cyclophosphamide   
Enjeksiyon   Mesna 0,2 & 1 mg/ml
20°C
24 Zaman
I_ık 2104
Kanıt düzeyi D
Polivinil klorür Sodyum klorür % 0,9 5 mg/ml
Enjeksiyon   Cyclophosphamide   
Enjeksiyon   Mesna 1 mg/ml
20°C
24 Zaman
I_ık 2104
Kanıt düzeyi D
Polivinil klorür Sodyum klorür % 0,9 10 mg/ml
Enjeksiyon   Cyclophosphamide   
Enjeksiyon   Mesna 2 & 10 mg/ml
20°C
24 Zaman
I_ık 2104
Kanıt düzeyi D
Polivinil klorür Sodyum klorür % 0,9 0,3 mg/ml
Enjeksiyon   Cyclophosphamide   
Enjeksiyon   Ondansetron hydrochloride 0,05 mg/ml
23°C-25°C
4 Gün
I_ık 50
Kanıt düzeyi B
Polivinil klorür Sodyum klorür % 0,9 2 mg/ml
Enjeksiyon   Cyclophosphamide   
Enjeksiyon   Ondansetron hydrochloride 0,4 mg/ml
23°C-25°C
4 Gün
I_ık 50
Kanıt düzeyi B
Polivinil klorür Sodyum klorür % 0,9 0,3 mg/ml
Enjeksiyon   Cyclophosphamide   
Enjeksiyon   Ondansetron hydrochloride 0,05 mg/ml
4°C
8 Gün
I_ık 50
Kanıt düzeyi B
Polivinil klorür Sodyum klorür % 0,9 2 mg/ml
Enjeksiyon   Cyclophosphamide   
Enjeksiyon   Ondansetron hydrochloride 0,4 mg/ml
4°C
8 Gün
I_ık 50
Kanıt düzeyi B
Polivinil klorür Glukoz %5 0,3 mg/ml
Enjeksiyon   Cyclophosphamide   
Enjeksiyon   Ondansetron hydrochloride 0,05 mg/ml
23°C-25°C
4 Gün
I_ık 50
Kanıt düzeyi B
Polivinil klorür Glukoz %5 2 mg/ml
Enjeksiyon   Cyclophosphamide   
Enjeksiyon   Ondansetron hydrochloride 0,4 mg/ml
23°C-25°C
4 Gün
I_ık 50
Kanıt düzeyi B
Polivinil klorür Glukoz %5 0,3 mg/ml
Enjeksiyon   Cyclophosphamide   
Enjeksiyon   Ondansetron hydrochloride 0,05 mg/ml
4°C
8 Gün
I_ık 50
Kanıt düzeyi B
Polivinil klorür Glukoz %5 2 mg/ml
Enjeksiyon   Cyclophosphamide   
Enjeksiyon   Ondansetron hydrochloride 0,4 mg/ml
4°C
8 Gün
I_ık 50
Kanıt düzeyi B
Polietilen Glukoz %5 1,8 mg/ml
Enjeksiyon   Cyclophosphamide   
Enjeksiyon   Mesna 0,54 mg/ml
22°C
6 Zaman
I_ık 1833
Kanıt düzeyi D
Polietilen Glukoz %5 10,8 mg/ml
Enjeksiyon   Cyclophosphamide   
Enjeksiyon   Mesna 3,2 mg/ml
22°C
24 Zaman
I_ık 1833
Kanıt düzeyi D
Polietilen Glukoz %5 10,8 mg/ml
Enjeksiyon   Cyclophosphamide   
Enjeksiyon   Mesna 3,2 mg/ml
4°C
48 Zaman
Belirtilmemiş 1833
Kanıt düzeyi D
Polietilen Glukoz %5 1,8 mg/ml
Enjeksiyon   Cyclophosphamide   
Enjeksiyon   Mesna 0,54 mg/ml
4°C
48 Zaman
Belirtilmemiş 1833
Kanıt düzeyi D
Belirtilmemiş Sodyum klorür % 0,9 10 mg/ml
Enjeksiyon   Cyclophosphamide   
Enjeksiyon   Topotecan 0,028 mg/ml
20°C-23°C
4 Zaman
I_ık 1026
Kanıt düzeyi C
Belirtilmemiş Glukoz %5 10 mg/ml
Enjeksiyon   Cyclophosphamide   
Enjeksiyon   Topotecan 0,028 mg/ml
20°C-23°C
4 Zaman
I_ık 1026
Kanıt düzeyi C

  Mentions Légales