Letztes “update” :
03/03/2026
Antikrebsmittel   Cyclophosphamide  
Injektion
Kapsel (Singular !) Lösung zum Einnehmen
Stabilität der Lösung Gemengestabilität Stabilitätbeeinflussende Faktoren Kompatibilitäten Applikationsart Literaturverzeichnis pdf
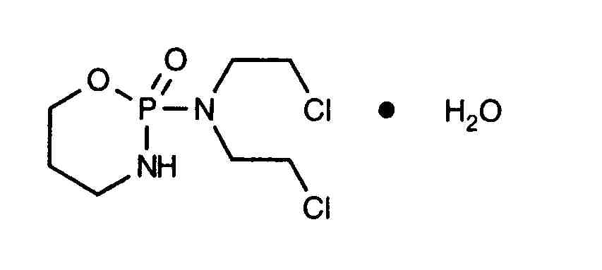
   Chemische Struktur  

Handelsmarke   Handelsmarke     

Handelsnamen sind als beispielhaft anzusehen. Sonstige Bestandteile können je nach Hersteller oder Land verschieden sein

Alkyloxan Ägypten, Malaysia
Celomide Indien
Ciclofosfamida Argentinien, Chile, Rumänien
Cicloxal Spanien
Cryofaxol Mexiko
Cycloblastin Australien
Cycloblastine Niederlande
Cyclophosphamid Dänemark, Deutschland
Cyclophosphamide Großbritannien, Neuseeland, Saudi-Arabien, Vereinigte Staaten von Amerika
Cyclostin Deutschland
Cycloxan Malaysia
Cycram Ägypten
Cytoxan Kanada, Ungarn, Vereinigte Staaten von Amerika
Eldamide Indien
Endoxan Australien, Belgien, Chile, Deutschland, Ecuador, Frankreich, Griechenland, Indien, Iran, Italien, Kolumbien, Kroatien, Luxemburg, Marokko, Neuseeland, Niederlande, Österreich, Polen, Portugal, Saudi-Arabien, Schweiz, Slowenien, Thailand, Tunesien, Türkei, Ungarn, Venezuela, Vereinigte Arabische Emirate
Endoxana Großbritannien, Irland
Formitex Kolumbien, Mexiko
Genoxal Spanien
Genuxal Brasilien
Hidrofosmin Mexiko
Ledoxan Kolumbien
Ledoxina Kolumbien, Mexiko
Neophos Ägypten
Neosar Vereinigte Staaten von Amerika
Procytox Kanada
Sendoxan Dänemark, Finnland, Island, Norwegen, Schweden
Syklofosfamid Finnland, Türkei
Gemengestabilität   Injektion   Gemengestabilität : Cyclophosphamide     
Behälter Lösungsmittel Konzentration Molekül Temperatur Konservierung Dauer der Stabilität Literaturverzeichnis
Glas Wasser für injektable präparate 1 mg/ml
Injektion   Cyclophosphamide   
Injektion   Granisetron hydrochloride 0,5 mg/ml
20°C-23°C
4 Stunde
Licht 57
Evidenzgrad A+
Glas 5% Glucose 10 mg/ml
Injektion   Cyclophosphamide   
Injektion   Palonosetron hydrochloride 50 µg/ml
25°C
4 Stunde
Licht 2016
Evidenzgrad A+
Polyvinylchlorid 0,9% Natriumchlorid 1 mg/ml
Injektion   Cyclophosphamide   
Injektion   Mesna 0,2 & 1 mg/ml
20°C
24 Stunde
Licht 2104
Evidenzgrad D
Polyvinylchlorid 0,9% Natriumchlorid 5 mg/ml
Injektion   Cyclophosphamide   
Injektion   Mesna 1 mg/ml
20°C
24 Stunde
Licht 2104
Evidenzgrad D
Polyvinylchlorid 0,9% Natriumchlorid 10 mg/ml
Injektion   Cyclophosphamide   
Injektion   Mesna 2 & 10 mg/ml
20°C
24 Stunde
Licht 2104
Evidenzgrad D
Polyvinylchlorid 0,9% Natriumchlorid 0,3 mg/ml
Injektion   Cyclophosphamide   
Injektion   Ondansetron hydrochloride 0,05 mg/ml
23°C-25°C
4 Tag
Licht 50
Evidenzgrad B
Polyvinylchlorid 0,9% Natriumchlorid 2 mg/ml
Injektion   Cyclophosphamide   
Injektion   Ondansetron hydrochloride 0,4 mg/ml
23°C-25°C
4 Tag
Licht 50
Evidenzgrad B
Polyvinylchlorid 0,9% Natriumchlorid 0,3 mg/ml
Injektion   Cyclophosphamide   
Injektion   Ondansetron hydrochloride 0,05 mg/ml
4°C
8 Tag
Licht 50
Evidenzgrad B
Polyvinylchlorid 0,9% Natriumchlorid 2 mg/ml
Injektion   Cyclophosphamide   
Injektion   Ondansetron hydrochloride 0,4 mg/ml
4°C
8 Tag
Licht 50
Evidenzgrad B
Polyvinylchlorid 5% Glucose 0,3 mg/ml
Injektion   Cyclophosphamide   
Injektion   Ondansetron hydrochloride 0,05 mg/ml
23°C-25°C
4 Tag
Licht 50
Evidenzgrad B
Polyvinylchlorid 5% Glucose 2 mg/ml
Injektion   Cyclophosphamide   
Injektion   Ondansetron hydrochloride 0,4 mg/ml
23°C-25°C
4 Tag
Licht 50
Evidenzgrad B
Polyvinylchlorid 5% Glucose 0,3 mg/ml
Injektion   Cyclophosphamide   
Injektion   Ondansetron hydrochloride 0,05 mg/ml
4°C
8 Tag
Licht 50
Evidenzgrad B
Polyvinylchlorid 5% Glucose 2 mg/ml
Injektion   Cyclophosphamide   
Injektion   Ondansetron hydrochloride 0,4 mg/ml
4°C
8 Tag
Licht 50
Evidenzgrad B
Polyäthylen 5% Glucose 1,8 mg/ml
Injektion   Cyclophosphamide   
Injektion   Mesna 0,54 mg/ml
22°C
6 Stunde
Licht 1833
Evidenzgrad D
Polyäthylen 5% Glucose 10,8 mg/ml
Injektion   Cyclophosphamide   
Injektion   Mesna 3,2 mg/ml
22°C
24 Stunde
Licht 1833
Evidenzgrad D
Polyäthylen 5% Glucose 10,8 mg/ml
Injektion   Cyclophosphamide   
Injektion   Mesna 3,2 mg/ml
4°C
48 Stunde
Nicht genau angegeben 1833
Evidenzgrad D
Polyäthylen 5% Glucose 1,8 mg/ml
Injektion   Cyclophosphamide   
Injektion   Mesna 0,54 mg/ml
4°C
48 Stunde
Nicht genau angegeben 1833
Evidenzgrad D
Nicht genau angegeben 0,9% Natriumchlorid 10 mg/ml
Injektion   Cyclophosphamide   
Injektion   Topotecan 0,028 mg/ml
20°C-23°C
4 Stunde
Licht 1026
Evidenzgrad C
Nicht genau angegeben 5% Glucose 10 mg/ml
Injektion   Cyclophosphamide   
Injektion   Topotecan 0,028 mg/ml
20°C-23°C
4 Stunde
Licht 1026
Evidenzgrad C

  Mentions Légales