Utolsó frissítés :
18/03/2026
rákellenes gyógyszer   Cyclophosphamide  
Injekció
belsőleges oldat kapszula
Az oldatok stabilitása A keverékek stabilitása Stabilitást befolyásoló tényezők Kompatibilitás Az alkalmazás módja Irodalom pdf
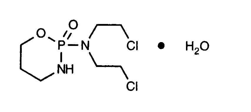
   Kémiai szerkezet   

Kereskedelmi név   Kereskedelmi név     

A kereskedelmi név meghatározó jelentőségű: a készítmények összetétele országonként, előállítóként eltérő lehet

Alkyloxan Egyiptom, Malaysia
Celomide India
Ciclofosfamida Argentína, Chile, Románia
Cicloxal Spanyolország
Cryofaxol Mexikó
Cycloblastin Ausztrália
Cycloblastine Hollandia
Cyclophosphamid Dánia, Németország
Cyclophosphamide Amerikai Egyesült Államok, Nagy-Britannia, Szaúd-Arábiában, új-Zéland
Cyclostin Németország
Cycloxan Malaysia
Cycram Egyiptom
Cytoxan Amerikai Egyesült Államok, Kanada, Magyarország
Eldamide India
Endoxan Ausztrália, Ausztria, Belgium, Chile, Colombia, Ecuador, Egyesült Arab Emírségek, Franciaország, Görögország, Hollandia, Horvátország, India, Irán, Lengyelország, Luxemburg, Magyarország, Marokkó, Németország, Olaszország, Portugália, Svájc, Szaúd-Arábiában, Szlovénia, Thaiföld, Törökország, Tunézia, új-Zéland, Venezuela
Endoxana Írország, Nagy-Britannia
Formitex Colombia, Mexikó
Genoxal Spanyolország
Genuxal Brazília
Hidrofosmin Mexikó
Ledoxan Colombia
Ledoxina Colombia, Mexikó
Neophos Egyiptom
Neosar Amerikai Egyesült Államok
Procytox Kanada
Sendoxan Dánia, Finnország, Izland, Norvégia, Svédország
Syklofosfamid Finnország, Törökország
A keverékek stabilitása   Injekció   A keverékek stabilitása : Cyclophosphamide     
Csomagolás Oldószer Koncentráció Vegyület Hőmérséklet Tárolás A stabilitás időtartama Irodalom
Üveg Injekcióhoz való víz 1 mg/ml
Injekció   Cyclophosphamide   
Injekció   Granisetron hydrochloride 0,5 mg/ml
20°C-23°C
4 Óra
Fény 57
Szintű bizonyítékot A+
Üveg 5% glükóz 10 mg/ml
Injekció   Cyclophosphamide   
Injekció   Palonosetron hydrochloride 50 µg/ml
25°C
4 Óra
Fény 2016
Szintű bizonyítékot A+
Poli(vinilklorid) 0,9% nátrium-klorid 1 mg/ml
Injekció   Cyclophosphamide   
Injekció   Mesna 0,2 & 1 mg/ml
20°C
24 Óra
Fény 2104
Szintű bizonyítékot D
Poli(vinilklorid) 0,9% nátrium-klorid 5 mg/ml
Injekció   Cyclophosphamide   
Injekció   Mesna 1 mg/ml
20°C
24 Óra
Fény 2104
Szintű bizonyítékot D
Poli(vinilklorid) 0,9% nátrium-klorid 10 mg/ml
Injekció   Cyclophosphamide   
Injekció   Mesna 2 & 10 mg/ml
20°C
24 Óra
Fény 2104
Szintű bizonyítékot D
Poli(vinilklorid) 0,9% nátrium-klorid 0,3 mg/ml
Injekció   Cyclophosphamide   
Injekció   Ondansetron hydrochloride 0,05 mg/ml
23°C-25°C
4 Nap
Fény 50
Szintű bizonyítékot B
Poli(vinilklorid) 0,9% nátrium-klorid 2 mg/ml
Injekció   Cyclophosphamide   
Injekció   Ondansetron hydrochloride 0,4 mg/ml
23°C-25°C
4 Nap
Fény 50
Szintű bizonyítékot B
Poli(vinilklorid) 0,9% nátrium-klorid 0,3 mg/ml
Injekció   Cyclophosphamide   
Injekció   Ondansetron hydrochloride 0,05 mg/ml
4°C
8 Nap
Fény 50
Szintű bizonyítékot B
Poli(vinilklorid) 0,9% nátrium-klorid 2 mg/ml
Injekció   Cyclophosphamide   
Injekció   Ondansetron hydrochloride 0,4 mg/ml
4°C
8 Nap
Fény 50
Szintű bizonyítékot B
Poli(vinilklorid) 5% glükóz 0,3 mg/ml
Injekció   Cyclophosphamide   
Injekció   Ondansetron hydrochloride 0,05 mg/ml
23°C-25°C
4 Nap
Fény 50
Szintű bizonyítékot B
Poli(vinilklorid) 5% glükóz 2 mg/ml
Injekció   Cyclophosphamide   
Injekció   Ondansetron hydrochloride 0,4 mg/ml
23°C-25°C
4 Nap
Fény 50
Szintű bizonyítékot B
Poli(vinilklorid) 5% glükóz 0,3 mg/ml
Injekció   Cyclophosphamide   
Injekció   Ondansetron hydrochloride 0,05 mg/ml
4°C
8 Nap
Fény 50
Szintű bizonyítékot B
Poli(vinilklorid) 5% glükóz 2 mg/ml
Injekció   Cyclophosphamide   
Injekció   Ondansetron hydrochloride 0,4 mg/ml
4°C
8 Nap
Fény 50
Szintű bizonyítékot B
Polietilén 5% glükóz 1,8 mg/ml
Injekció   Cyclophosphamide   
Injekció   Mesna 0,54 mg/ml
22°C
6 Óra
Fény 1833
Szintű bizonyítékot D
Polietilén 5% glükóz 10,8 mg/ml
Injekció   Cyclophosphamide   
Injekció   Mesna 3,2 mg/ml
22°C
24 Óra
Fény 1833
Szintű bizonyítékot D
Polietilén 5% glükóz 10,8 mg/ml
Injekció   Cyclophosphamide   
Injekció   Mesna 3,2 mg/ml
4°C
48 Óra
Nincs meghatározva 1833
Szintű bizonyítékot D
Polietilén 5% glükóz 1,8 mg/ml
Injekció   Cyclophosphamide   
Injekció   Mesna 0,54 mg/ml
4°C
48 Óra
Nincs meghatározva 1833
Szintű bizonyítékot D
Nincs meghatározva 0,9% nátrium-klorid 10 mg/ml
Injekció   Cyclophosphamide   
Injekció   Topotecan 0,028 mg/ml
20°C-23°C
4 Óra
Fény 1026
Szintű bizonyítékot C
Nincs meghatározva 5% glükóz 10 mg/ml
Injekció   Cyclophosphamide   
Injekció   Topotecan 0,028 mg/ml
20°C-23°C
4 Óra
Fény 1026
Szintű bizonyítékot C

  Mentions Légales