Последно актуализиране :
17/12/2025
противораково лекарство   Cyclophosphamide  
Инжекция/Инжекционен
Капсула Орален разтвор
Стабилност на разтвори Стабилност на смеси Фактори, повлияващи стабилността Съвместимост Път на въвеждане Библиография Pdf
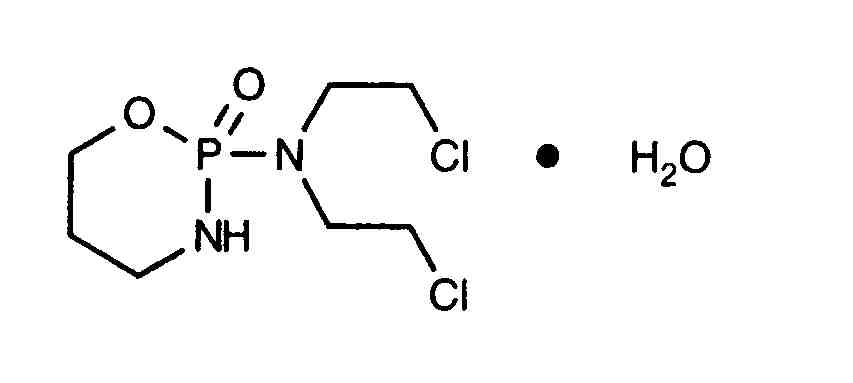
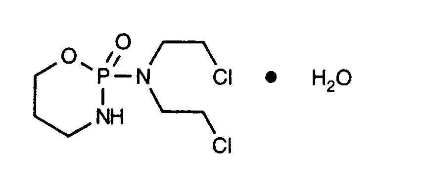
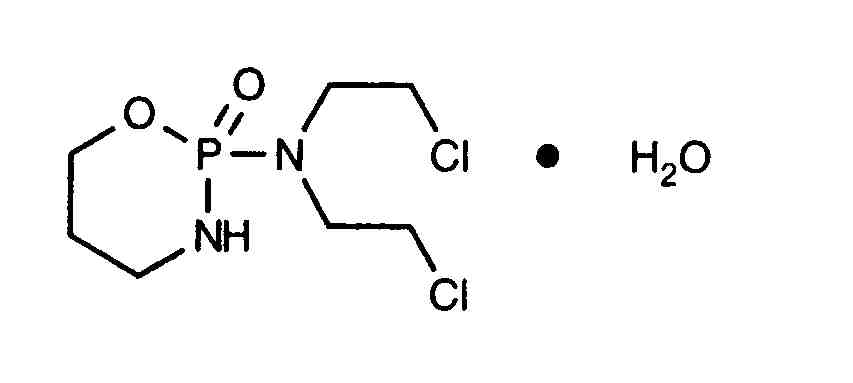
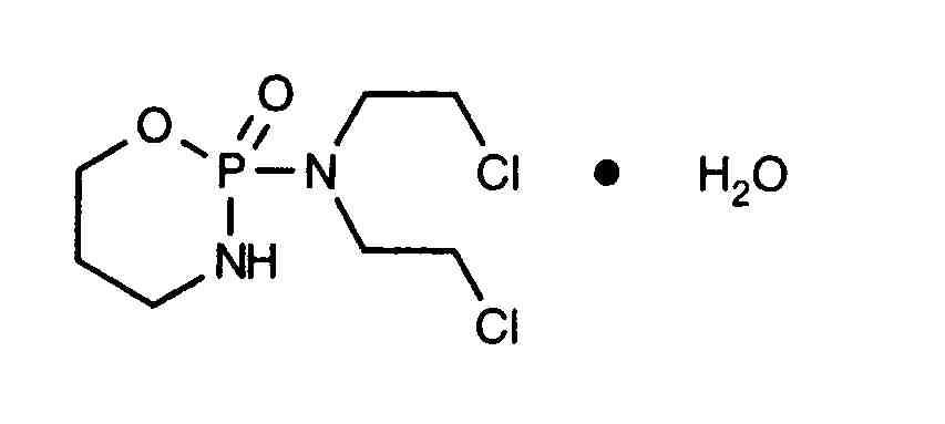
   Химична структура  

Търговско наименование   Търговско наименование     

Търговските имена са примерни и съставът на помощните вещества може да бъде различен в зависимост от държавата и лабораториите

Alkyloxan Египет, Малайзия
Celomide Индия
Ciclofosfamida Аржентина, Румъния, Чили
Cicloxal Испания
Cryofaxol Мексико
Cycloblastin Австралия
Cycloblastine Холандия
Cyclophosphamid Германия, Дания
Cyclophosphamide Великобритания, нова Зеландия, Саудитска Арабия, Съединени Американски щати / САЩ
Cyclostin Германия
Cycloxan Малайзия
Cycram Египет
Cytoxan Канада, Съединени Американски щати / САЩ, Унгария
Eldamide Индия
Endoxan Австралия, Австрия, Белгия, Венецуела, Германия, Гърция, Еквадор, Индия, Иран, Италия, Колумбия, Люксенбург, Мароко, нова Зеландия, Обединени арабски емирства, Полша, Португалия, Саудитска Арабия, Словения, Тайланд, Тунис, Турция, Унгария, Франция, Холандия, Хърватия, Чили, Швейцария
Endoxana Великобритания, Ирландия
Formitex Колумбия, Мексико
Genoxal Испания
Genuxal Бразилия
Hidrofosmin Мексико
Ledoxan Колумбия
Ledoxina Колумбия, Мексико
Neophos Египет
Neosar Съединени Американски щати / САЩ
Procytox Канада
Sendoxan Дания, Исландия, Норвегия, Финландия, Швеция
Syklofosfamid Турция, Финландия
Стабилност на смеси   Инжекция/Инжекционен   Стабилност на смеси : Cyclophosphamide     
Контейнер Разтворител Концентрация Състав / молекула Температура Съхранение Продължителност на стабилността Библиография
Стъкло Вода за инжекции 1 mg/ml
Инжекция/Инжекционен   Cyclophosphamide   
Инжекция/Инжекционен   Granisetron hydrochloride 0,5 mg/ml
20°C-23°C
4 Час
Светлина 57
Степен на доказаност A+
Стъкло Glucose 5% 10 mg/ml
Инжекция/Инжекционен   Cyclophosphamide   
Инжекция/Инжекционен   Palonosetron hydrochloride 50 µg/ml
25°C
4 Час
Светлина 2016
Степен на доказаност A+
Поливинил хлорид Sodium chloride 0,9% 1 mg/ml
Инжекция/Инжекционен   Cyclophosphamide   
Инжекция/Инжекционен   Mesna 0,2 & 1 mg/ml
20°C
24 Час
Светлина 2104
Степен на доказаност D
Поливинил хлорид Sodium chloride 0,9% 5 mg/ml
Инжекция/Инжекционен   Cyclophosphamide   
Инжекция/Инжекционен   Mesna 1 mg/ml
20°C
24 Час
Светлина 2104
Степен на доказаност D
Поливинил хлорид Sodium chloride 0,9% 10 mg/ml
Инжекция/Инжекционен   Cyclophosphamide   
Инжекция/Инжекционен   Mesna 2 & 10 mg/ml
20°C
24 Час
Светлина 2104
Степен на доказаност D
Поливинил хлорид Sodium chloride 0,9% 0,3 mg/ml
Инжекция/Инжекционен   Cyclophosphamide   
Инжекция/Инжекционен   Ondansetron hydrochloride 0,05 mg/ml
23°C-25°C
4 Ден
Светлина 50
Степен на доказаност B
Поливинил хлорид Sodium chloride 0,9% 2 mg/ml
Инжекция/Инжекционен   Cyclophosphamide   
Инжекция/Инжекционен   Ondansetron hydrochloride 0,4 mg/ml
23°C-25°C
4 Ден
Светлина 50
Степен на доказаност B
Поливинил хлорид Sodium chloride 0,9% 0,3 mg/ml
Инжекция/Инжекционен   Cyclophosphamide   
Инжекция/Инжекционен   Ondansetron hydrochloride 0,05 mg/ml
4°C
8 Ден
Светлина 50
Степен на доказаност B
Поливинил хлорид Sodium chloride 0,9% 2 mg/ml
Инжекция/Инжекционен   Cyclophosphamide   
Инжекция/Инжекционен   Ondansetron hydrochloride 0,4 mg/ml
4°C
8 Ден
Светлина 50
Степен на доказаност B
Поливинил хлорид Glucose 5% 0,3 mg/ml
Инжекция/Инжекционен   Cyclophosphamide   
Инжекция/Инжекционен   Ondansetron hydrochloride 0,05 mg/ml
23°C-25°C
4 Ден
Светлина 50
Степен на доказаност B
Поливинил хлорид Glucose 5% 2 mg/ml
Инжекция/Инжекционен   Cyclophosphamide   
Инжекция/Инжекционен   Ondansetron hydrochloride 0,4 mg/ml
23°C-25°C
4 Ден
Светлина 50
Степен на доказаност B
Поливинил хлорид Glucose 5% 0,3 mg/ml
Инжекция/Инжекционен   Cyclophosphamide   
Инжекция/Инжекционен   Ondansetron hydrochloride 0,05 mg/ml
4°C
8 Ден
Светлина 50
Степен на доказаност B
Поливинил хлорид Glucose 5% 2 mg/ml
Инжекция/Инжекционен   Cyclophosphamide   
Инжекция/Инжекционен   Ondansetron hydrochloride 0,4 mg/ml
4°C
8 Ден
Светлина 50
Степен на доказаност B
Полиетилен Glucose 5% 1,8 mg/ml
Инжекция/Инжекционен   Cyclophosphamide   
Инжекция/Инжекционен   Mesna 0,54 mg/ml
22°C
6 Час
Светлина 1833
Степен на доказаност D
Полиетилен Glucose 5% 10,8 mg/ml
Инжекция/Инжекционен   Cyclophosphamide   
Инжекция/Инжекционен   Mesna 3,2 mg/ml
22°C
24 Час
Светлина 1833
Степен на доказаност D
Полиетилен Glucose 5% 10,8 mg/ml
Инжекция/Инжекционен   Cyclophosphamide   
Инжекция/Инжекционен   Mesna 3,2 mg/ml
4°C
48 Час
Не е уточнено 1833
Степен на доказаност D
Полиетилен Glucose 5% 1,8 mg/ml
Инжекция/Инжекционен   Cyclophosphamide   
Инжекция/Инжекционен   Mesna 0,54 mg/ml
4°C
48 Час
Не е уточнено 1833
Степен на доказаност D
Не е уточнено Sodium chloride 0,9% 10 mg/ml
Инжекция/Инжекционен   Cyclophosphamide   
Инжекция/Инжекционен   Topotecan 0,028 mg/ml
20°C-23°C
4 Час
Светлина 1026
Степен на доказаност C
Не е уточнено Glucose 5% 10 mg/ml
Инжекция/Инжекционен   Cyclophosphamide   
Инжекция/Инжекционен   Topotecan 0,028 mg/ml
20°C-23°C
4 Час
Светлина 1026
Степен на доказаност C

  Mentions Légales