Ostatnia aktualizacja :
17/12/2025
Lek cytostatyk   Cyclophosphamide  
Injekcje
Kapsułka Roztwór doustny
Trwałość roztworów Trwałość w mieszaninie Czynnik wpływający na trwałość Zgodność Sposób podania Bibliografia pdf
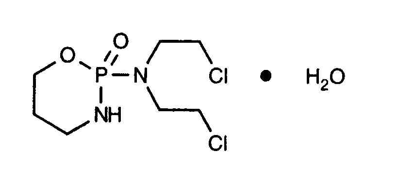
   Struktura chemiczna  

Nazwa handlowa   Nazwa handlowa     

Trade names are indicative and excipients composition can be different depending on the country and manufacturers

Alkyloxan Egipt, Malezja
Celomide Indie
Ciclofosfamida Argentyna, Chile, Rumunia
Cicloxal Hiszpania
Cryofaxol Meksyk
Cycloblastin Australia
Cycloblastine Holandia
Cyclophosphamid Dania, Niemcy
Cyclophosphamide Arabia Saudyjska, nowa Zelandia, Stany Zjednoczone Ameryki, Wielka Brytania
Cyclostin Niemcy
Cycloxan Malezja
Cycram Egipt
Cytoxan Kanada, Stany Zjednoczone Ameryki, Węgry
Eldamide Indie
Endoxan Arabia Saudyjska, Australia, Austria, Belgia, Chile, Chorwacja, Ekwador, Francja , Grecja, Holandia, Indie, Iran, KolumbiaKolumbia, Luksemburg, Maroko, Niemcy, nowa Zelandia, Polska, Portugalia, Szwajcaria, Słowenia, Tajlandia, Tunisie, Turcja, Węgry, Wenezuela, Włochy, Zjednoczone Emiraty Arabskie
Endoxana Irlandia, Wielka Brytania
Formitex KolumbiaKolumbia, Meksyk
Genoxal Hiszpania
Genuxal Brazylia
Hidrofosmin Meksyk
Ledoxan KolumbiaKolumbia
Ledoxina KolumbiaKolumbia, Meksyk
Neophos Egipt
Neosar Stany Zjednoczone Ameryki
Procytox Kanada
Sendoxan Dania, Finlandia, Islandia, Norwegia, Szwecja
Syklofosfamid Finlandia, Turcja
Trwałość w mieszaninie   Injekcje   Trwałość w mieszaninie : Cyclophosphamide     
Pojemnik Rozpuszczalnik Stężenie Związek Temperatura Przechowywanie Czas trwania stabilności Bibliografia
Szkło Woda do wstrzyknięć 1 mg/ml
Injekcje   Cyclophosphamide   
Injekcje   Granisetron hydrochloride 0,5 mg/ml
20°C-23°C
4 Godzina
światło 57
Poziom wiarygodności A+
Szkło Glukoza 5% 10 mg/ml
Injekcje   Cyclophosphamide   
Injekcje   Palonosetron hydrochloride 50 µg/ml
25°C
4 Godzina
światło 2016
Poziom wiarygodności A+
Polichlorek winylu Chlorek sodu 0,9% 1 mg/ml
Injekcje   Cyclophosphamide   
Injekcje   Mesna 0,2 & 1 mg/ml
20°C
24 Godzina
światło 2104
Poziom wiarygodności D
Polichlorek winylu Chlorek sodu 0,9% 5 mg/ml
Injekcje   Cyclophosphamide   
Injekcje   Mesna 1 mg/ml
20°C
24 Godzina
światło 2104
Poziom wiarygodności D
Polichlorek winylu Chlorek sodu 0,9% 10 mg/ml
Injekcje   Cyclophosphamide   
Injekcje   Mesna 2 & 10 mg/ml
20°C
24 Godzina
światło 2104
Poziom wiarygodności D
Polichlorek winylu Chlorek sodu 0,9% 0,3 mg/ml
Injekcje   Cyclophosphamide   
Injekcje   Ondansetron hydrochloride 0,05 mg/ml
23°C-25°C
4 Dzień
światło 50
Poziom wiarygodności B
Polichlorek winylu Chlorek sodu 0,9% 2 mg/ml
Injekcje   Cyclophosphamide   
Injekcje   Ondansetron hydrochloride 0,4 mg/ml
23°C-25°C
4 Dzień
światło 50
Poziom wiarygodności B
Polichlorek winylu Chlorek sodu 0,9% 0,3 mg/ml
Injekcje   Cyclophosphamide   
Injekcje   Ondansetron hydrochloride 0,05 mg/ml
4°C
8 Dzień
światło 50
Poziom wiarygodności B
Polichlorek winylu Chlorek sodu 0,9% 2 mg/ml
Injekcje   Cyclophosphamide   
Injekcje   Ondansetron hydrochloride 0,4 mg/ml
4°C
8 Dzień
światło 50
Poziom wiarygodności B
Polichlorek winylu Glukoza 5% 0,3 mg/ml
Injekcje   Cyclophosphamide   
Injekcje   Ondansetron hydrochloride 0,05 mg/ml
23°C-25°C
4 Dzień
światło 50
Poziom wiarygodności B
Polichlorek winylu Glukoza 5% 2 mg/ml
Injekcje   Cyclophosphamide   
Injekcje   Ondansetron hydrochloride 0,4 mg/ml
23°C-25°C
4 Dzień
światło 50
Poziom wiarygodności B
Polichlorek winylu Glukoza 5% 0,3 mg/ml
Injekcje   Cyclophosphamide   
Injekcje   Ondansetron hydrochloride 0,05 mg/ml
4°C
8 Dzień
światło 50
Poziom wiarygodności B
Polichlorek winylu Glukoza 5% 2 mg/ml
Injekcje   Cyclophosphamide   
Injekcje   Ondansetron hydrochloride 0,4 mg/ml
4°C
8 Dzień
światło 50
Poziom wiarygodności B
Polietylen Glukoza 5% 1,8 mg/ml
Injekcje   Cyclophosphamide   
Injekcje   Mesna 0,54 mg/ml
22°C
6 Godzina
światło 1833
Poziom wiarygodności D
Polietylen Glukoza 5% 10,8 mg/ml
Injekcje   Cyclophosphamide   
Injekcje   Mesna 3,2 mg/ml
22°C
24 Godzina
światło 1833
Poziom wiarygodności D
Polietylen Glukoza 5% 10,8 mg/ml
Injekcje   Cyclophosphamide   
Injekcje   Mesna 3,2 mg/ml
4°C
48 Godzina
Nie wyszczególniony 1833
Poziom wiarygodności D
Polietylen Glukoza 5% 1,8 mg/ml
Injekcje   Cyclophosphamide   
Injekcje   Mesna 0,54 mg/ml
4°C
48 Godzina
Nie wyszczególniony 1833
Poziom wiarygodności D
Brak informacji Chlorek sodu 0,9% 10 mg/ml
Injekcje   Cyclophosphamide   
Injekcje   Topotecan 0,028 mg/ml
20°C-23°C
4 Godzina
światło 1026
Poziom wiarygodności C
Brak informacji Glukoza 5% 10 mg/ml
Injekcje   Cyclophosphamide   
Injekcje   Topotecan 0,028 mg/ml
20°C-23°C
4 Godzina
światło 1026
Poziom wiarygodności C

  Mentions Légales