آخر تحديث :
17/12/2025
المضادة للسرطان المخدرات   Cyclophosphamide  
حقن
عن طريق الفم  كبسولة
الاستقرار في حلول استقرار مخاليط العوامل التي تؤثر على الاستقرار التوافق طريقة التعاطي مراجع pdf
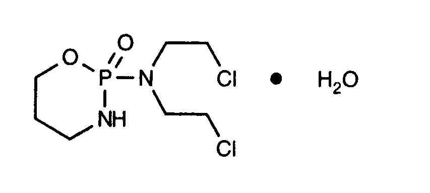
   التركيب الكيميائي  

حجز الاسم التجاري   حجز الاسم التجاري     

تحذير الأسماء التجاريه المختلفه قد تحتوي علي محتوي إضافات مختلفة حسب الدوله و المعمل

Alkyloxan ماليزيا, مصر
Celomide الهند
Ciclofosfamida الأرجنتين, تشيلي, رومانيا
Cicloxal إسبانيا
Cryofaxol المكسيك
Cycloblastin أستراليا
Cycloblastine هولندا
Cyclophosphamid ألمانيا, الدنمارك
Cyclophosphamide العربية السعودية, الولايات المتحدة, بريطانيا العظمي, زيلاندا الجديدة
Cyclostin ألمانيا
Cycloxan ماليزيا
Cycram مصر
Cytoxan الولايات المتحدة, كندا, هنغاريا
Eldamide الهند
Endoxan أستراليا, ألمانيا, إيران, إيطاليا, الإكوادور, الإمارات العربية المتحدة, البرتغال, العربية السعودية, المغرب, النمسا, الهند, بلجيكا, بولندا, تايلاند, تركيا, تشيلي, تونس, زيلاندا الجديدة, سلوفينيا, سويسرا, فرنسا, فنزويلا, كرواتيا, كولومبيا, لوكسمبورغ, هنغاريا, هولندا, يونان
Endoxana ايرلندا, بريطانيا العظمي
Formitex المكسيك, كولومبيا
Genoxal إسبانيا
Genuxal البرازيل
Hidrofosmin المكسيك
Ledoxan كولومبيا
Ledoxina المكسيك, كولومبيا
Neophos مصر
Neosar الولايات المتحدة
Procytox كندا
Sendoxan أيسلندا, الدنمارك, السويد, النرويج, فنلندا
Syklofosfamid تركيا, فنلندا
استقرار مخاليط   حقن   استقرار مخاليط : Cyclophosphamide     
حاوية مذيب تركيز مركب درجة الحرارة تخزين مدة الاستقرار مراجع
زجاج حقن المياه لل 1 mg/ml
حقن   Cyclophosphamide   
حقن   Granisetron hydrochloride 0,5 mg/ml
20°C-23°C
4 ساعة
ضوء 57
 A+ مستوى الأدلة
زجاج الجلوكوز %5 10 mg/ml
حقن   Cyclophosphamide   
حقن   Palonosetron hydrochloride 50 µg/ml
25°C
4 ساعة
ضوء 2016
 A+ مستوى الأدلة
البولي فينيل كلوريد كلوريد الصوديوم 0.9% 1 mg/ml
حقن   Cyclophosphamide   
حقن   Mesna 0,2 & 1 mg/ml
20°C
24 ساعة
ضوء 2104
D مستوى الأدلة
البولي فينيل كلوريد كلوريد الصوديوم 0.9% 5 mg/ml
حقن   Cyclophosphamide   
حقن   Mesna 1 mg/ml
20°C
24 ساعة
ضوء 2104
D مستوى الأدلة
البولي فينيل كلوريد كلوريد الصوديوم 0.9% 10 mg/ml
حقن   Cyclophosphamide   
حقن   Mesna 2 & 10 mg/ml
20°C
24 ساعة
ضوء 2104
D مستوى الأدلة
البولي فينيل كلوريد كلوريد الصوديوم 0.9% 0,3 mg/ml
حقن   Cyclophosphamide   
حقن   Ondansetron hydrochloride 0,05 mg/ml
23°C-25°C
4 يوم
ضوء 50
B مستوى الأدلة
البولي فينيل كلوريد كلوريد الصوديوم 0.9% 2 mg/ml
حقن   Cyclophosphamide   
حقن   Ondansetron hydrochloride 0,4 mg/ml
23°C-25°C
4 يوم
ضوء 50
B مستوى الأدلة
البولي فينيل كلوريد كلوريد الصوديوم 0.9% 0,3 mg/ml
حقن   Cyclophosphamide   
حقن   Ondansetron hydrochloride 0,05 mg/ml
4°C
8 يوم
ضوء 50
B مستوى الأدلة
البولي فينيل كلوريد كلوريد الصوديوم 0.9% 2 mg/ml
حقن   Cyclophosphamide   
حقن   Ondansetron hydrochloride 0,4 mg/ml
4°C
8 يوم
ضوء 50
B مستوى الأدلة
البولي فينيل كلوريد الجلوكوز %5 0,3 mg/ml
حقن   Cyclophosphamide   
حقن   Ondansetron hydrochloride 0,05 mg/ml
23°C-25°C
4 يوم
ضوء 50
B مستوى الأدلة
البولي فينيل كلوريد الجلوكوز %5 2 mg/ml
حقن   Cyclophosphamide   
حقن   Ondansetron hydrochloride 0,4 mg/ml
23°C-25°C
4 يوم
ضوء 50
B مستوى الأدلة
البولي فينيل كلوريد الجلوكوز %5 0,3 mg/ml
حقن   Cyclophosphamide   
حقن   Ondansetron hydrochloride 0,05 mg/ml
4°C
8 يوم
ضوء 50
B مستوى الأدلة
البولي فينيل كلوريد الجلوكوز %5 2 mg/ml
حقن   Cyclophosphamide   
حقن   Ondansetron hydrochloride 0,4 mg/ml
4°C
8 يوم
ضوء 50
B مستوى الأدلة
البولي ايثيلين الجلوكوز %5 1,8 mg/ml
حقن   Cyclophosphamide   
حقن   Mesna 0,54 mg/ml
22°C
6 ساعة
ضوء 1833
D مستوى الأدلة
البولي ايثيلين الجلوكوز %5 10,8 mg/ml
حقن   Cyclophosphamide   
حقن   Mesna 3,2 mg/ml
22°C
24 ساعة
ضوء 1833
D مستوى الأدلة
البولي ايثيلين الجلوكوز %5 10,8 mg/ml
حقن   Cyclophosphamide   
حقن   Mesna 3,2 mg/ml
4°C
48 ساعة
لم يتم تحديد 1833
D مستوى الأدلة
البولي ايثيلين الجلوكوز %5 1,8 mg/ml
حقن   Cyclophosphamide   
حقن   Mesna 0,54 mg/ml
4°C
48 ساعة
لم يتم تحديد 1833
D مستوى الأدلة
لم يتم تحديد كلوريد الصوديوم 0.9% 10 mg/ml
حقن   Cyclophosphamide   
حقن   Topotecan 0,028 mg/ml
20°C-23°C
4 ساعة
ضوء 1026
C مستوى الأدلة
لم يتم تحديد الجلوكوز %5 10 mg/ml
حقن   Cyclophosphamide   
حقن   Topotecan 0,028 mg/ml
20°C-23°C
4 ساعة
ضوء 1026
C مستوى الأدلة

  Mentions Légales