Dernière mise à jour :
18/03/2026
Anticancéreux   Cyclophosphamide  
injectable
Gélule Solution buvable
Stabilité des solutions Stabilité en mélange Facteur influençant la stabilité Compatibilités Voie d’administration Bibliographie pdf
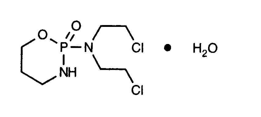
   Structure chimique  

Noms commerciaux   Noms commerciaux     

Les noms commerciaux sont donnés à titre indicatif et la composition en excipients peut être différente selon les pays et selon les laboratoires

Alkyloxan Egypte, Malaisie
Celomide Inde
Ciclofosfamida Argentine, Chili, Roumanie
Cicloxal Espagne
Cryofaxol Mexique
Cycloblastin Australie
Cycloblastine Pays bas
Cyclophosphamid Allemagne, Danemark
Cyclophosphamide Arabie Saoudite, Etats Unis d’Amérique, Grande Bretagne, Nouvelle Zélande
Cyclostin Allemagne
Cycloxan Malaisie
Cycram Egypte
Cytoxan Canada, Etats Unis d’Amérique, Hongrie
Eldamide Inde
Endoxan Allemagne, Arabie Saoudite, Australie, Autriche, Belgique, Chili, Colombie, Croatie, Emirats Arabes Unis , Equateur, France, Grèce, Hongrie, Inde, Iran, Italie, Luxembourg, Maroc, Nouvelle Zélande, Pays bas, Pologne, Portugal, Slovénie, Suisse, Thaïlande, Tunisie, Turquie, Vénézuela
Endoxana Grande Bretagne, Irlande
Formitex Colombie, Mexique
Genoxal Espagne
Genuxal Brésil
Hidrofosmin Mexique
Ledoxan Colombie
Ledoxina Colombie, Mexique
Neophos Egypte
Neosar Etats Unis d’Amérique
Procytox Canada
Sendoxan Danemark, Finlande, Islande, Norvège, Suède
Syklofosfamid Finlande, Turquie
Stabilité en mélange   injectable   Stabilité en mélange : Cyclophosphamide     
Contenant Solvant Concentration Molécule Température Conservation Durée de stabilité Bibliographie
Verre Eau pour préparation injectable 1 mg/ml
injectable   Cyclophosphamide   
injectable   Granisetron hydrochloride 0,5 mg/ml
20°C-23°C
4 Heure
Lumière 57
Niveau de preuve A +
Verre Glucose 5% 10 mg/ml
injectable   Cyclophosphamide   
injectable   Palonosetron hydrochloride 50 µg/ml
25°C
4 Heure
Lumière 2016
Niveau de preuve A +
Polyvinyl chlorure Chlorure de sodium 0,9% 1 mg/ml
injectable   Cyclophosphamide   
injectable   Mesna 0,2 & 1 mg/ml
20°C
24 Heure
Lumière 2104
Niveau de preuve D
Polyvinyl chlorure Chlorure de sodium 0,9% 5 mg/ml
injectable   Cyclophosphamide   
injectable   Mesna 1 mg/ml
20°C
24 Heure
Lumière 2104
Niveau de preuve D
Polyvinyl chlorure Chlorure de sodium 0,9% 10 mg/ml
injectable   Cyclophosphamide   
injectable   Mesna 2 & 10 mg/ml
20°C
24 Heure
Lumière 2104
Niveau de preuve D
Polyvinyl chlorure Chlorure de sodium 0,9% 0,3 mg/ml
injectable   Cyclophosphamide   
injectable   Ondansetron hydrochloride 0,05 mg/ml
23°C-25°C
4 Jour
Lumière 50
Niveau de preuve B
Polyvinyl chlorure Chlorure de sodium 0,9% 2 mg/ml
injectable   Cyclophosphamide   
injectable   Ondansetron hydrochloride 0,4 mg/ml
23°C-25°C
4 Jour
Lumière 50
Niveau de preuve B
Polyvinyl chlorure Chlorure de sodium 0,9% 0,3 mg/ml
injectable   Cyclophosphamide   
injectable   Ondansetron hydrochloride 0,05 mg/ml
4°C
8 Jour
Lumière 50
Niveau de preuve B
Polyvinyl chlorure Chlorure de sodium 0,9% 2 mg/ml
injectable   Cyclophosphamide   
injectable   Ondansetron hydrochloride 0,4 mg/ml
4°C
8 Jour
Lumière 50
Niveau de preuve B
Polyvinyl chlorure Glucose 5% 0,3 mg/ml
injectable   Cyclophosphamide   
injectable   Ondansetron hydrochloride 0,05 mg/ml
23°C-25°C
4 Jour
Lumière 50
Niveau de preuve B
Polyvinyl chlorure Glucose 5% 2 mg/ml
injectable   Cyclophosphamide   
injectable   Ondansetron hydrochloride 0,4 mg/ml
23°C-25°C
4 Jour
Lumière 50
Niveau de preuve B
Polyvinyl chlorure Glucose 5% 0,3 mg/ml
injectable   Cyclophosphamide   
injectable   Ondansetron hydrochloride 0,05 mg/ml
4°C
8 Jour
Lumière 50
Niveau de preuve B
Polyvinyl chlorure Glucose 5% 2 mg/ml
injectable   Cyclophosphamide   
injectable   Ondansetron hydrochloride 0,4 mg/ml
4°C
8 Jour
Lumière 50
Niveau de preuve B
Polyéthylène Glucose 5% 1,8 mg/ml
injectable   Cyclophosphamide   
injectable   Mesna 0,54 mg/ml
22°C
6 Heure
Lumière 1833
Niveau de preuve D
Polyéthylène Glucose 5% 10,8 mg/ml
injectable   Cyclophosphamide   
injectable   Mesna 3,2 mg/ml
22°C
24 Heure
Lumière 1833
Niveau de preuve D
Polyéthylène Glucose 5% 10,8 mg/ml
injectable   Cyclophosphamide   
injectable   Mesna 3,2 mg/ml
4°C
48 Heure
Non précisée 1833
Niveau de preuve D
Polyéthylène Glucose 5% 1,8 mg/ml
injectable   Cyclophosphamide   
injectable   Mesna 0,54 mg/ml
4°C
48 Heure
Non précisée 1833
Niveau de preuve D
Non précisé Chlorure de sodium 0,9% 10 mg/ml
injectable   Cyclophosphamide   
injectable   Topotecan 0,028 mg/ml
20°C-23°C
4 Heure
Lumière 1026
Niveau de preuve C
Non précisé Glucose 5% 10 mg/ml
injectable   Cyclophosphamide   
injectable   Topotecan 0,028 mg/ml
20°C-23°C
4 Heure
Lumière 1026
Niveau de preuve C

  Mentions Légales